Официальное опубликование правовых актов
ОФИЦИАЛЬНОЕ ОПУБЛИКОВАНИЕ
Постановление Правительства Оренбургской области от 20.08.2018 № 538-п
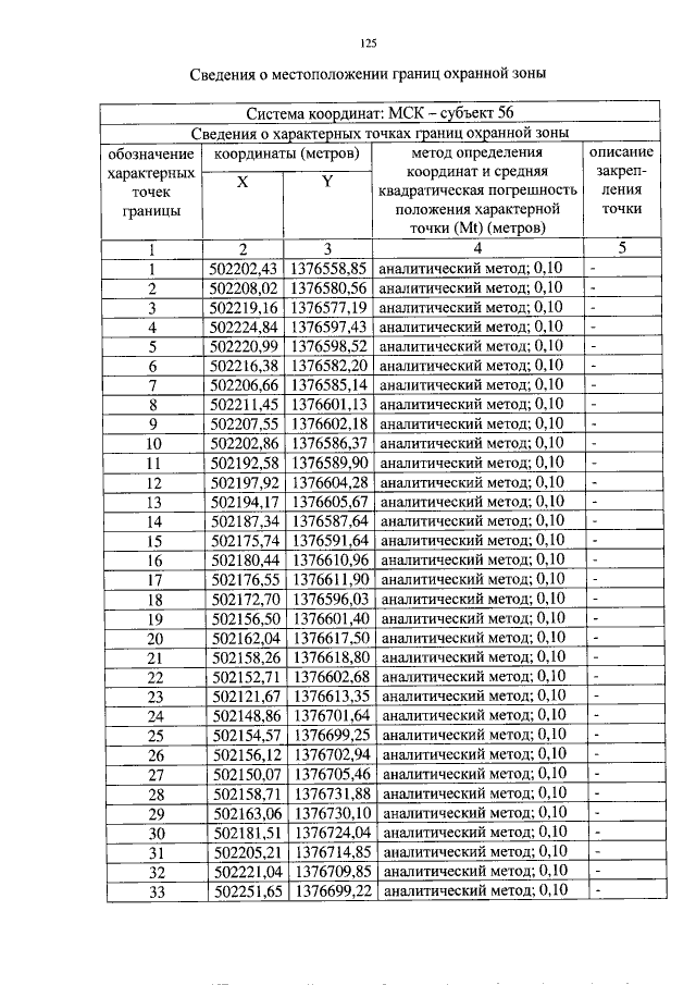
"Об утверждении границ охранных зон газораспределительных сетей и наложении ограничений на входящие в них земельные участки, расположенные на территории муниципального образования Сорочинский городской округ Оренбургской области"
Номер опубликования: 5600201808240007
Дата опубликования: 24.08.2018
Страница №125 из 131:
Увеличить