Официальное опубликование правовых актов
ОФИЦИАЛЬНОЕ ОПУБЛИКОВАНИЕ
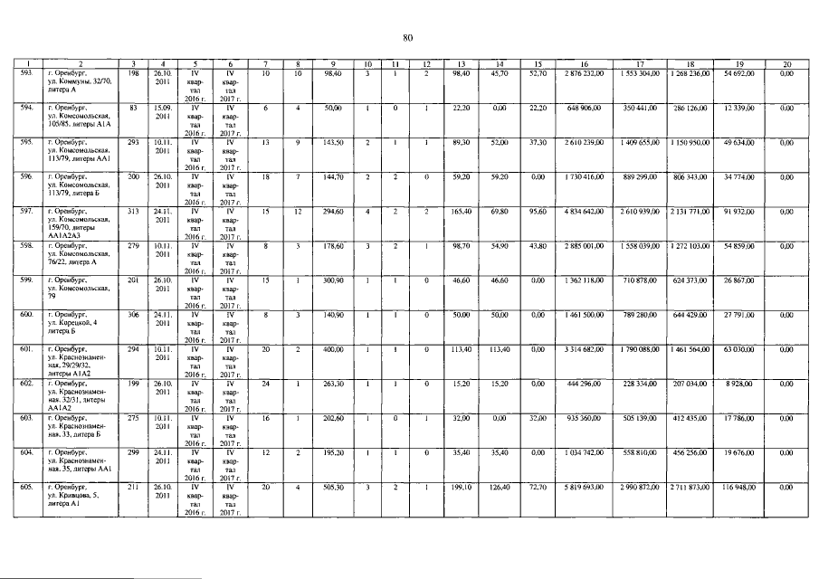
Постановление Правительства Оренбургской области от 06.09.2018 № 590-пп
"О внесении изменения в постановление Правительства Оренбургской области от 15 мая 2013 года № 378-пп"
Номер опубликования: 5600201809130022
Дата опубликования: 13.09.2018
Страница №80 из 193:
Увеличить