Официальное опубликование правовых актов
ОФИЦИАЛЬНОЕ ОПУБЛИКОВАНИЕ
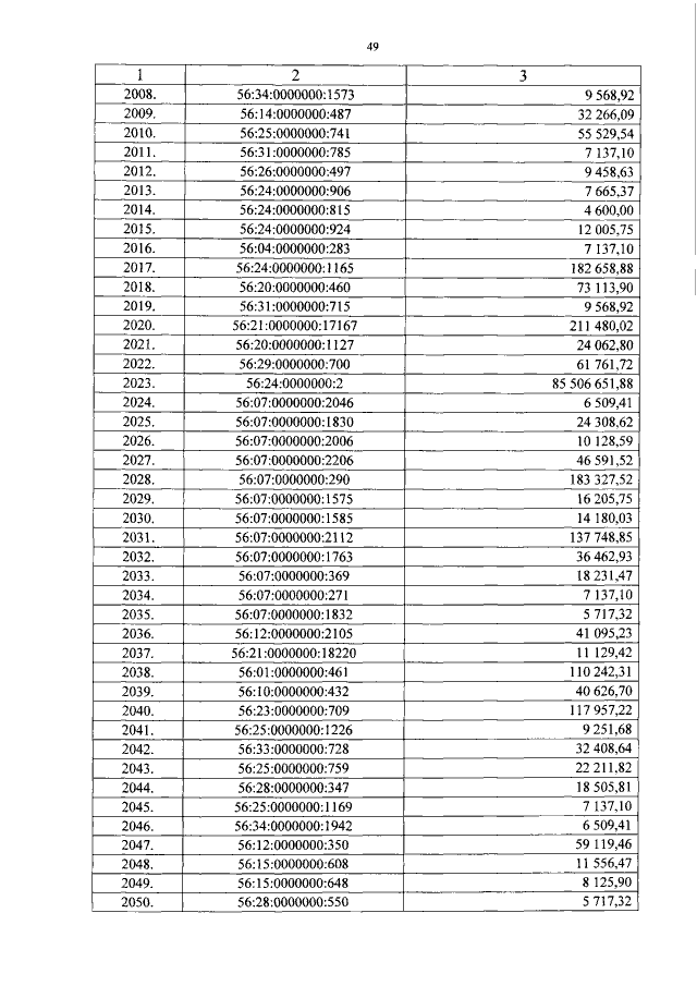
Постановление Правительства Оренбургской области от 08.10.2018 № 654-п
"Об утверждении результатов определения кадастровой стоимости земель лесного фонда и земель водного фонда на территории Оренбургской области"
Номер опубликования: 5600201810120005
Дата опубликования: 12.10.2018
Страница №49 из 386:
Увеличить