Официальное опубликование правовых актов
ОФИЦИАЛЬНОЕ ОПУБЛИКОВАНИЕ
Постановление Правительства Оренбургской области от 04.12.2018 № 770-п
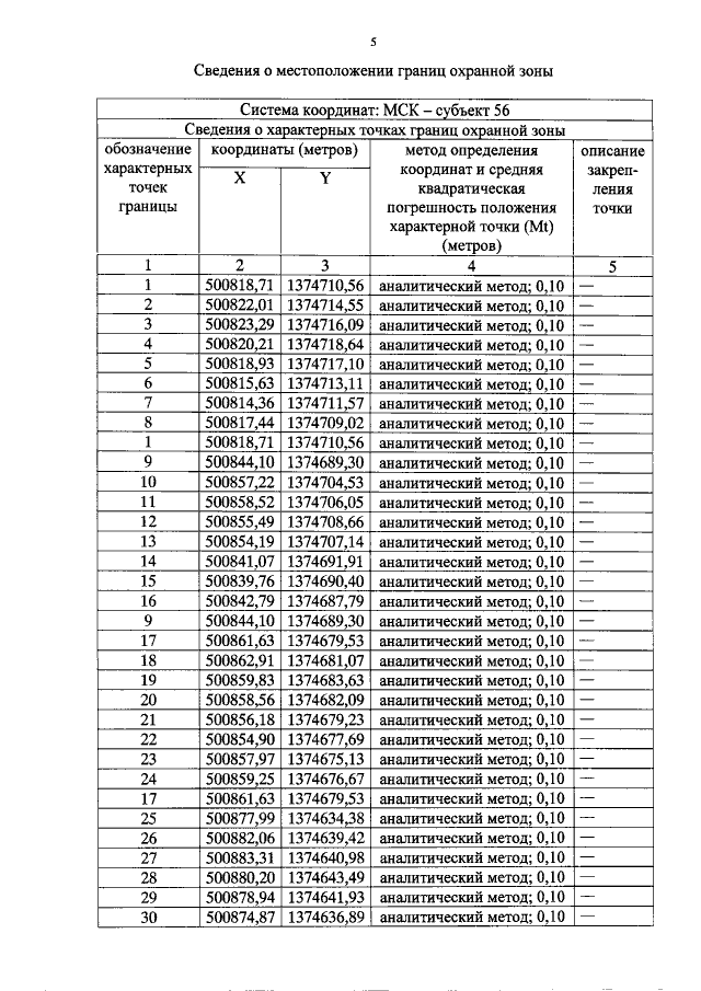
"Об утверждении границ охранных зон газораспределительных сетей и наложении ограничений на входящие в них земельные участки, расположенные на территории муниципального образования Сорочинский городской округ Оренбургской области"
Номер опубликования: 5600201812060007
Дата опубликования: 06.12.2018
Страница №5 из 132:
Увеличить