Официальное опубликование правовых актов
ОФИЦИАЛЬНОЕ ОПУБЛИКОВАНИЕ
Постановление Правительства Оренбургской области от 21.12.2018 № 837-пп
"О внесении изменений в постановление Правительства Оренбургской области от 30.04.2014 № 272-пп"
Номер опубликования: 5600201812290004
Дата опубликования: 29.12.2018
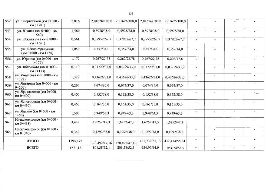
Страница №135 из 163:
Увеличить