Официальное опубликование правовых актов
ОФИЦИАЛЬНОЕ ОПУБЛИКОВАНИЕ
Постановление Правительства Оренбургской области от 25.12.2018 № 895-пп
"О внесении изменений в постановление Правительства Оренбургской области от 28 июня 2013 года № 553-пп"
Номер опубликования: 5600201901040002
Дата опубликования: 04.01.2019
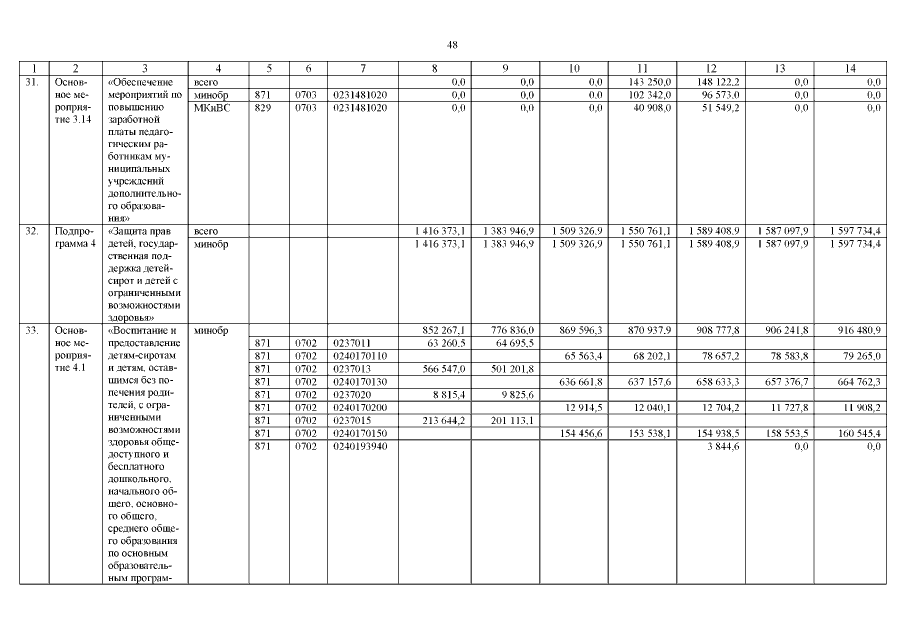
Страница №48 из 100:
Увеличить