Официальное опубликование правовых актов
ОФИЦИАЛЬНОЕ ОПУБЛИКОВАНИЕ
Постановление Правительства Оренбургской области от 25.12.2018 № 893-п
"О внесении изменения в постановление Правительства Оренбургской области от 31 августа 2016 года № 617-п"
Номер опубликования: 5600201901040006
Дата опубликования: 04.01.2019
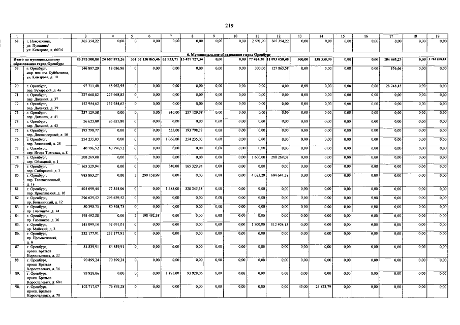
Страница №219 из 485:
Увеличить