Официальное опубликование правовых актов
ОФИЦИАЛЬНОЕ ОПУБЛИКОВАНИЕ
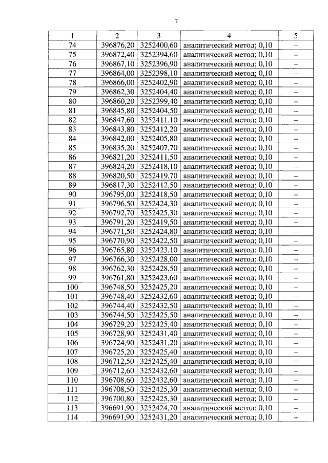
Постановление Правительства Оренбургской области от 04.02.2019 № 58-п
"Об утверждении границ охранных зон газораспределительных сетей и наложении ограничений на входящие в них земельные участки, расположенные на территории муниципального образования Кувандыкский городской округ Оренбургской области"
Номер опубликования: 5600201902060008
Дата опубликования: 06.02.2019
Страница №7 из 142:
Увеличить