Официальное опубликование правовых актов
ОФИЦИАЛЬНОЕ ОПУБЛИКОВАНИЕ
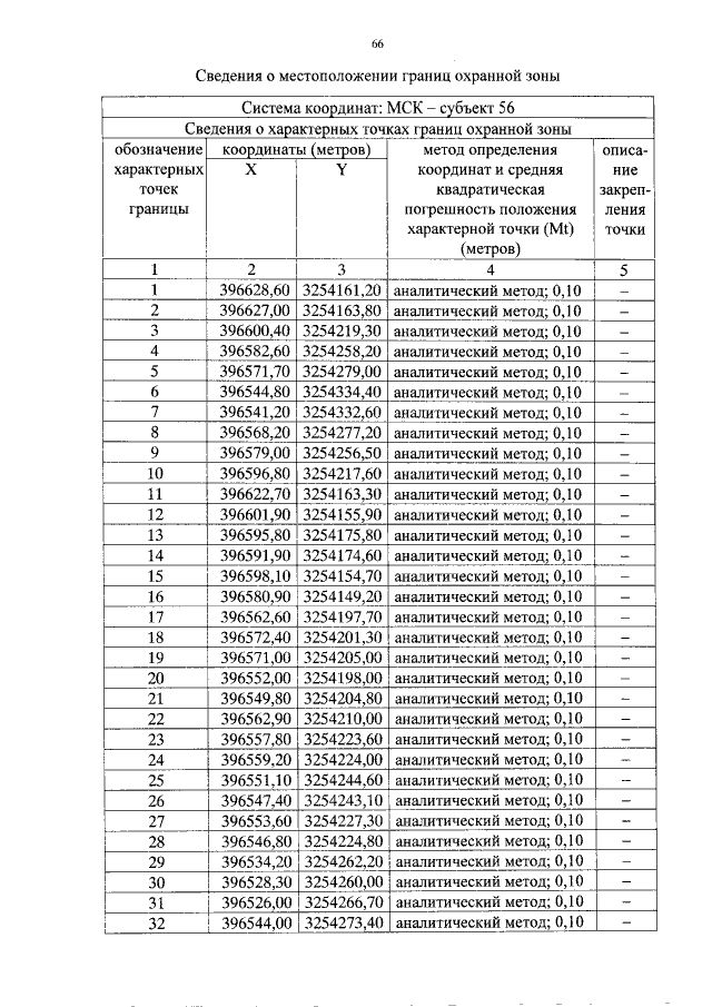
Постановление Правительства Оренбургской области от 25.02.2019 № 104-п
"Об утверждении границ охранных зон газораспределительных сетей и наложении ограничений на входящие в них земельные участки, расположенные на территории муниципального образования Кувандыкский городской округ Оренбургской области"
Номер опубликования: 5600201902270004
Дата опубликования: 27.02.2019
Страница №66 из 76:
Увеличить