Официальное опубликование правовых актов
ОФИЦИАЛЬНОЕ ОПУБЛИКОВАНИЕ
Постановление Правительства Оренбургской области от 25.02.2019 № 103-п
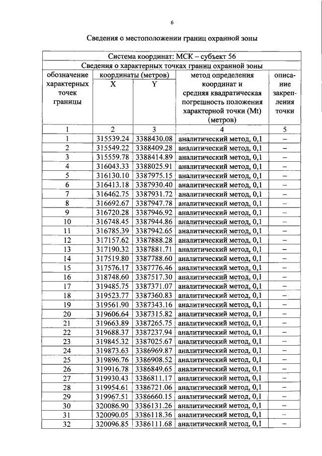
"Об утверждении границ охранных зон газораспределительных сетей и наложении ограничений на входящие в них земельные участки, расположенные на территории муниципального образования Домбаровский район Оренбургской области"
Номер опубликования: 5600201902270005
Дата опубликования: 27.02.2019
Страница №6 из 28:
Увеличить