Официальное опубликование правовых актов
ОФИЦИАЛЬНОЕ ОПУБЛИКОВАНИЕ
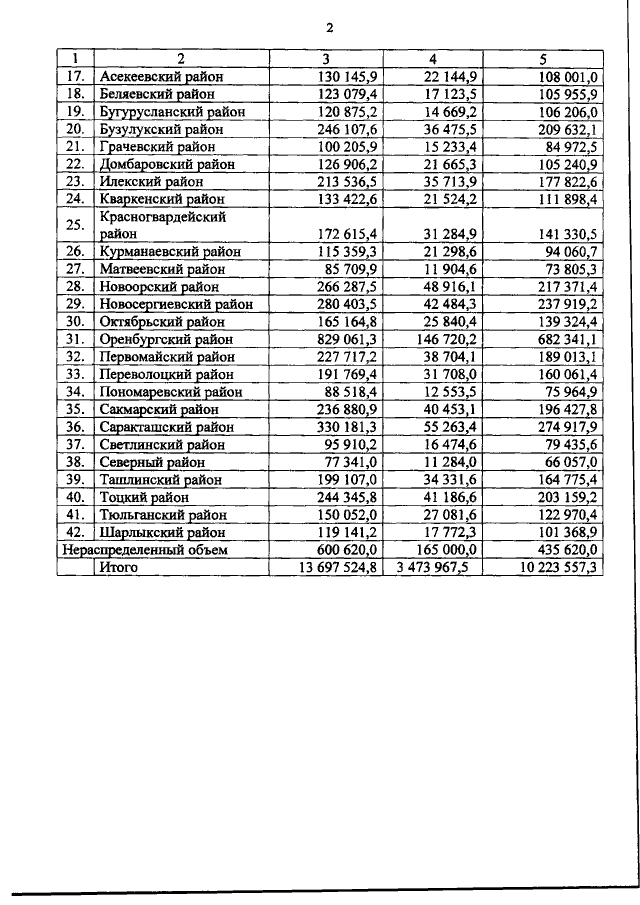
Закон Оренбургской области от 20.03.2019 № 1552/402-VI-ОЗ "О внесении изменений в Закон Оренбургской области "Об областном бюджете на 2019 год и на плановый период 2020 и 2021 годов"
Номер опубликования: 5600201903210005
Дата опубликования: 21.03.2019
Страница №974 из 1197:
Увеличить