Официальное опубликование правовых актов
ОФИЦИАЛЬНОЕ ОПУБЛИКОВАНИЕ
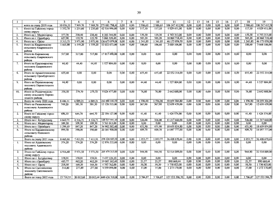
Постановление Правительства Оренбургской области от 20.03.2019 № 186-пп
"Об утверждении областной адресной программы "Переселение граждан из аварийного жилищного фонда Оренбургской области" на 2019–2025 годы"
Номер опубликования: 5600201903270001
Дата опубликования: 27.03.2019
Страница №39 из 56:
Увеличить