Официальное опубликование правовых актов
ОФИЦИАЛЬНОЕ ОПУБЛИКОВАНИЕ
Постановление Правительства Оренбургской области от 15.04.2019 № 258-п
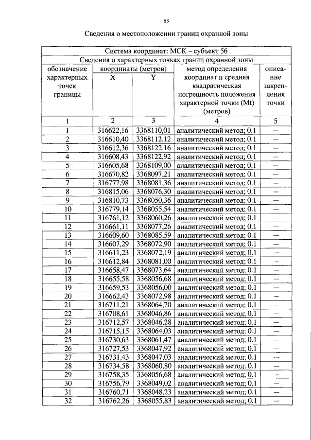
"Об утверждении границ охранных зон газораспределительных сетей и наложении ограничений на входящие в них земельные участки, расположенные на территории муниципального образования Домбаровский район Оренбургской области"
Номер опубликования: 5600201904170003
Дата опубликования: 17.04.2019
Страница №63 из 139:
Увеличить