Официальное опубликование правовых актов
ОФИЦИАЛЬНОЕ ОПУБЛИКОВАНИЕ
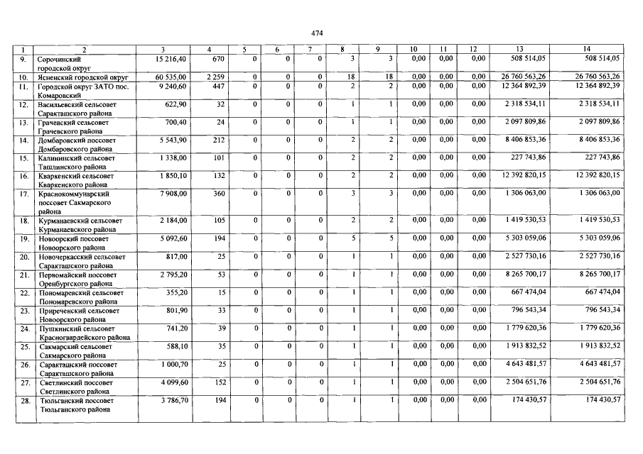
Постановление Правительства Оренбургской области от 30.09.2019 № 754-п
"О внесении изменений в постановление Правительства Оренбургской области от 31 августа 2016 года № 617-п"
Номер опубликования: 5600201910020007
Дата опубликования: 02.10.2019
Страница №474 из 481:
Увеличить