Официальное опубликование правовых актов
ОФИЦИАЛЬНОЕ ОПУБЛИКОВАНИЕ
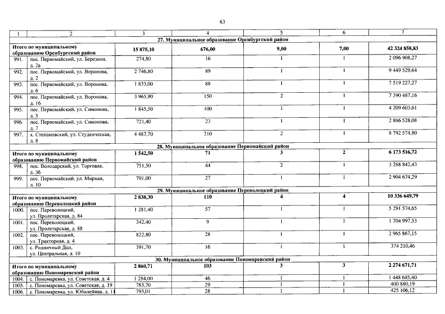
Постановление Правительства Оренбургской области от 10.10.2019 № 774-пп
"Об утверждении краткосрочного плана реализации региональной программы "Проведение капитального ремонта общего имущества в многоквартирных домах, расположенных на территории Оренбургской области, в 2014–2043 годах" на 2020–2022 годы"
Номер опубликования: 5600201910140002
Дата опубликования: 14.10.2019
Страница №63 из 649:
Увеличить