Официальное опубликование правовых актов
ОФИЦИАЛЬНОЕ ОПУБЛИКОВАНИЕ
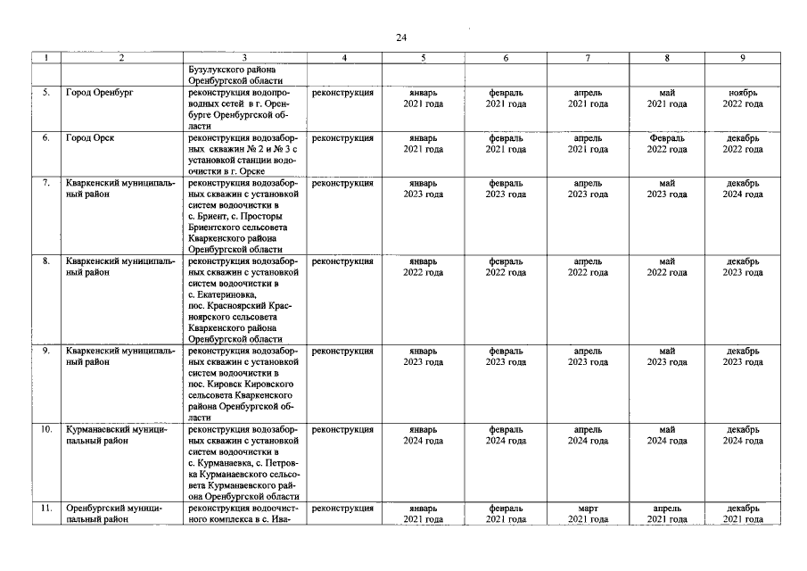
Постановление Правительства Оренбургской области от 10.10.2019 № 775-пп
"Об утверждении региональной программы "Повышение качества водоснабжения на территории Оренбургской области" на 2019–2024 годы"
Номер опубликования: 5600201910180002
Дата опубликования: 18.10.2019
Страница №24 из 33:
Увеличить