Официальное опубликование правовых актов
ОФИЦИАЛЬНОЕ ОПУБЛИКОВАНИЕ
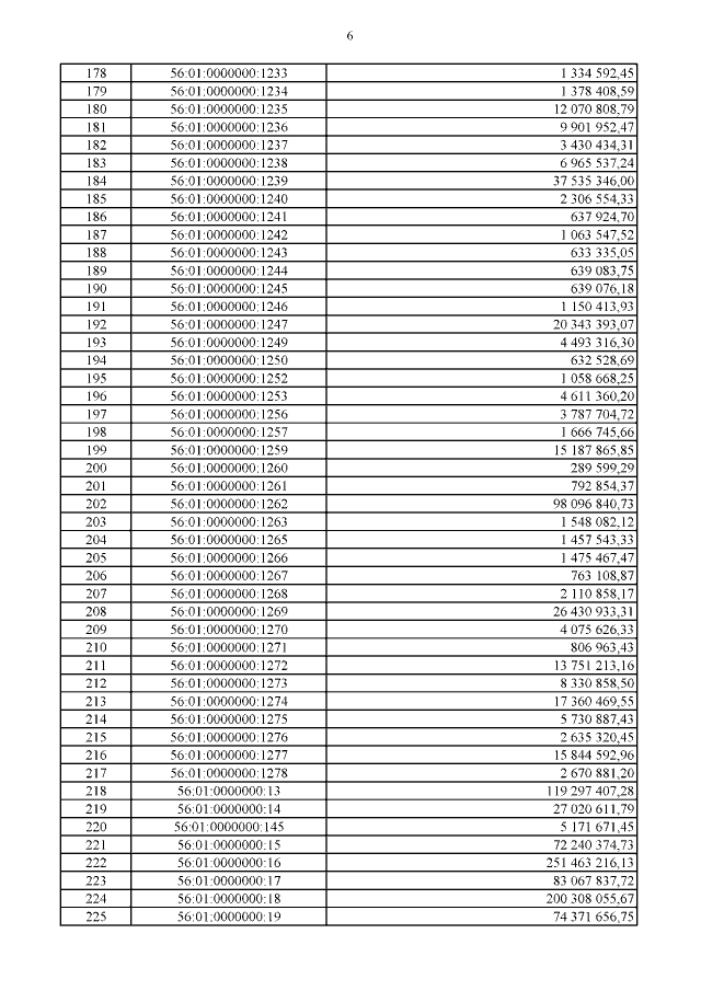
Постановление Правительства Оренбургской области от 29.11.2019 № 881-пп
"Об утверждении результатов определения кадастровой стоимости земель сельскохозяйственного назначения и земель особо охраняемых территорий и объектов на территории Оренбургской области"
Номер опубликования: 5600201911290004
Дата опубликования: 29.11.2019
Страница №6 из 2974:
Увеличить