Официальное опубликование правовых актов
ОФИЦИАЛЬНОЕ ОПУБЛИКОВАНИЕ
Постановление Правительства Оренбургской области от 18.12.2019 № 920-п
"О внесении изменений в постановление Правительства Оренбургской области от 31 августа 2016 года № 617-п"
Номер опубликования: 5600201912200030
Дата опубликования: 20.12.2019
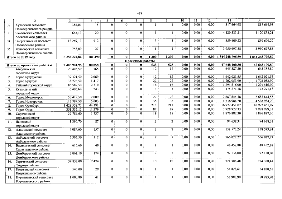
Страница №419 из 423:
Увеличить