Официальное опубликование правовых актов
ОФИЦИАЛЬНОЕ ОПУБЛИКОВАНИЕ
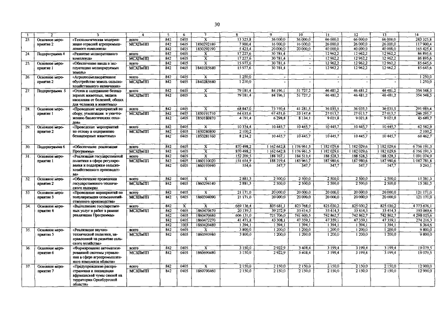
Постановление Правительства Оренбургской области от 20.02.2020 № 77-пп
"О внесении изменений в постановление Правительства Оренбургской области от 29 декабря 2018 года № 918-пп"
Номер опубликования: 5600202002280004
Дата опубликования: 28.02.2020
Страница №30 из 86:
Увеличить