Официальное опубликование правовых актов
ОФИЦИАЛЬНОЕ ОПУБЛИКОВАНИЕ
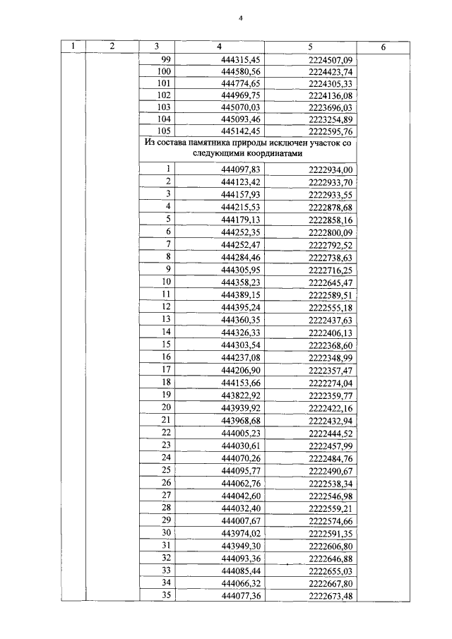
Постановление Правительства Оренбургской области от 13.03.2020 № 152-п
"О внесении изменений в постановление Правительства Оренбургской области от 25.02.2015 № 121-п"
Номер опубликования: 5600202003170017
Дата опубликования: 17.03.2020
Страница №4 из 5:
Увеличить