Официальное опубликование правовых актов
ОФИЦИАЛЬНОЕ ОПУБЛИКОВАНИЕ
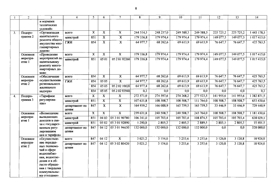
Постановление Правительства Оренбургской области от 19.03.2020 № 191-пп
"О внесении изменений в постановление Правительства Оренбургской области от 29.12.2018 № 924-пп"
Номер опубликования: 5600202003240008
Дата опубликования: 24.03.2020
Страница №8 из 11:
Увеличить