Официальное опубликование правовых актов
ОФИЦИАЛЬНОЕ ОПУБЛИКОВАНИЕ
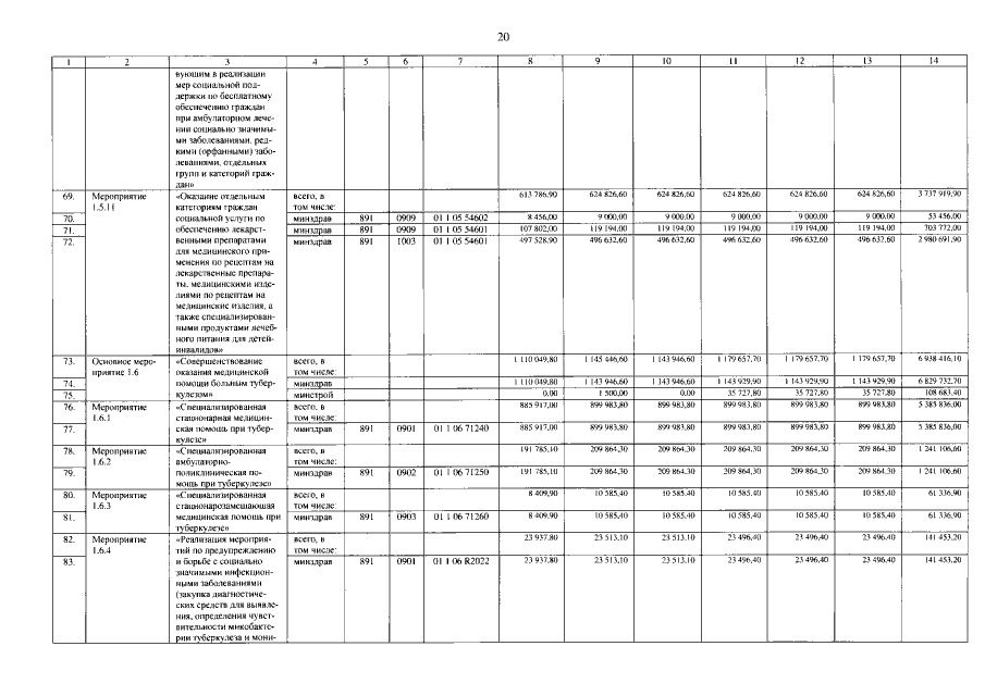
Постановление Правительства Оренбургской области от 19.03.2020 № 187-пп
"О внесении изменений в постановления Правительства Оренбургской области от 25.12.2018 № 883-пп и от 25.12.2019 № 970-пп"
Номер опубликования: 5600202003240012
Дата опубликования: 24.03.2020
Страница №20 из 121:
Увеличить