Официальное опубликование правовых актов
ОФИЦИАЛЬНОЕ ОПУБЛИКОВАНИЕ
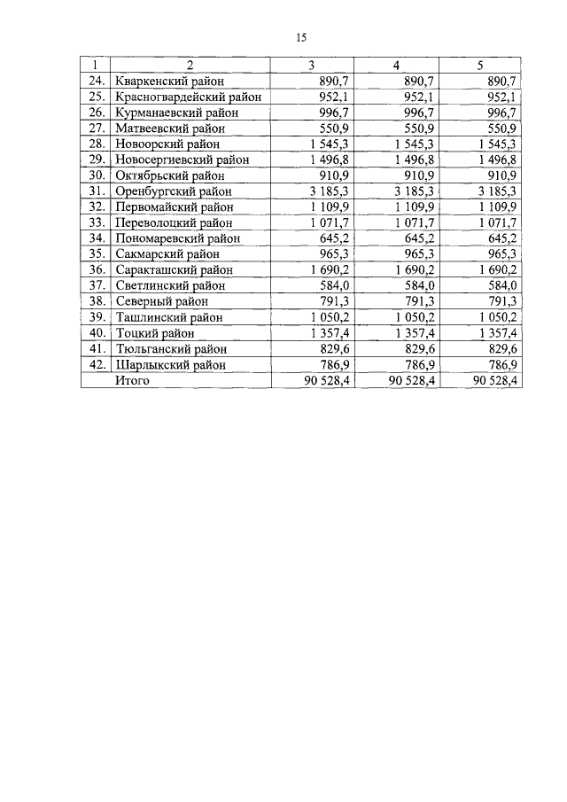
Закон Оренбургской области от 25.06.2020 № 2285/609-VI-ОЗ
"О внесении изменений в Закон Оренбургской области "Об областном бюджете на 2020 год и на плановый период 2021 и 2022 годов"
Номер опубликования: 5600202006260001
Дата опубликования: 26.06.2020
Страница №1017 из 1416:
Увеличить