Официальное опубликование правовых актов
ОФИЦИАЛЬНОЕ ОПУБЛИКОВАНИЕ
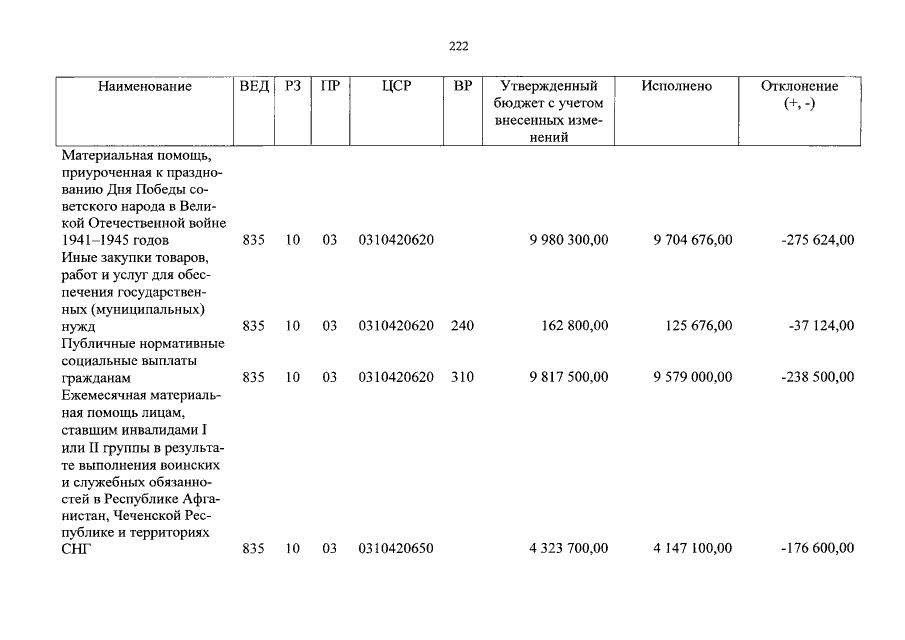
Закон Оренбургской области от 25.06.2020 № 2283/610-VI-ОЗ
"Об исполнении областного бюджета за 2019 год"
Номер опубликования: 5600202006260002
Дата опубликования: 26.06.2020
Страница №289 из 658:
Увеличить