Официальное опубликование правовых актов
ОФИЦИАЛЬНОЕ ОПУБЛИКОВАНИЕ
Постановление Правительства Оренбургской области от 04.08.2020 № 684-пп
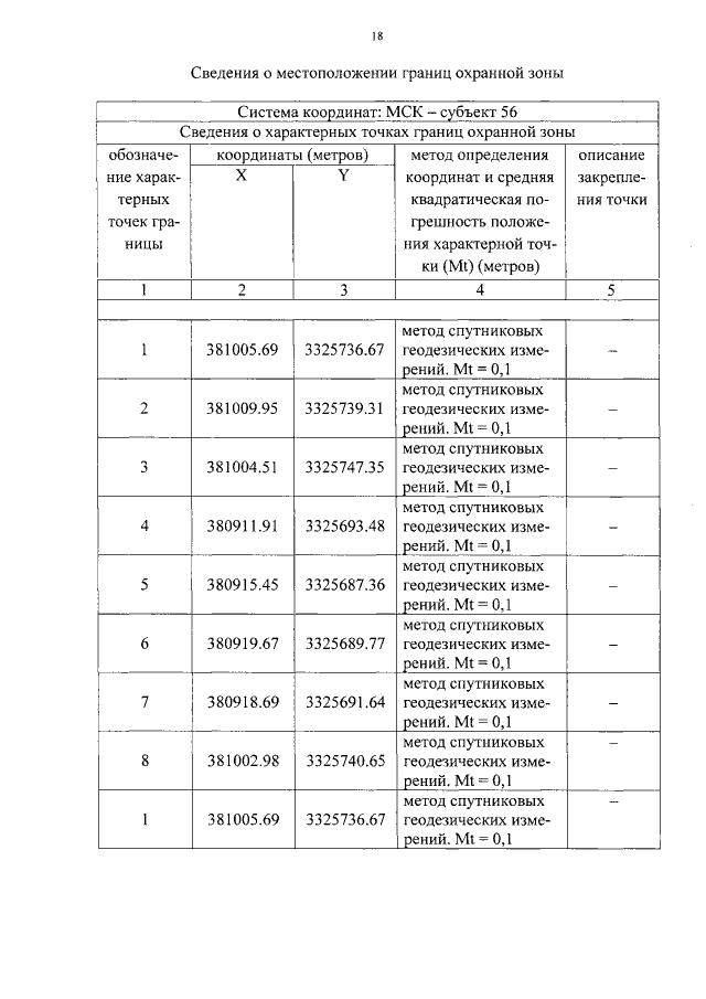
"Об утверждении границ охранных зон газораспределительных сетей и наложении ограничений на входящие в них земельные участки, расположенные на территории муниципальных образований Гайский городской округ Оренбургской области, Новоорский район Оренбургской области"
Номер опубликования: 5600202008070006
Дата опубликования: 07.08.2020
Страница №18 из 164:
Увеличить