Официальное опубликование правовых актов
ОФИЦИАЛЬНОЕ ОПУБЛИКОВАНИЕ
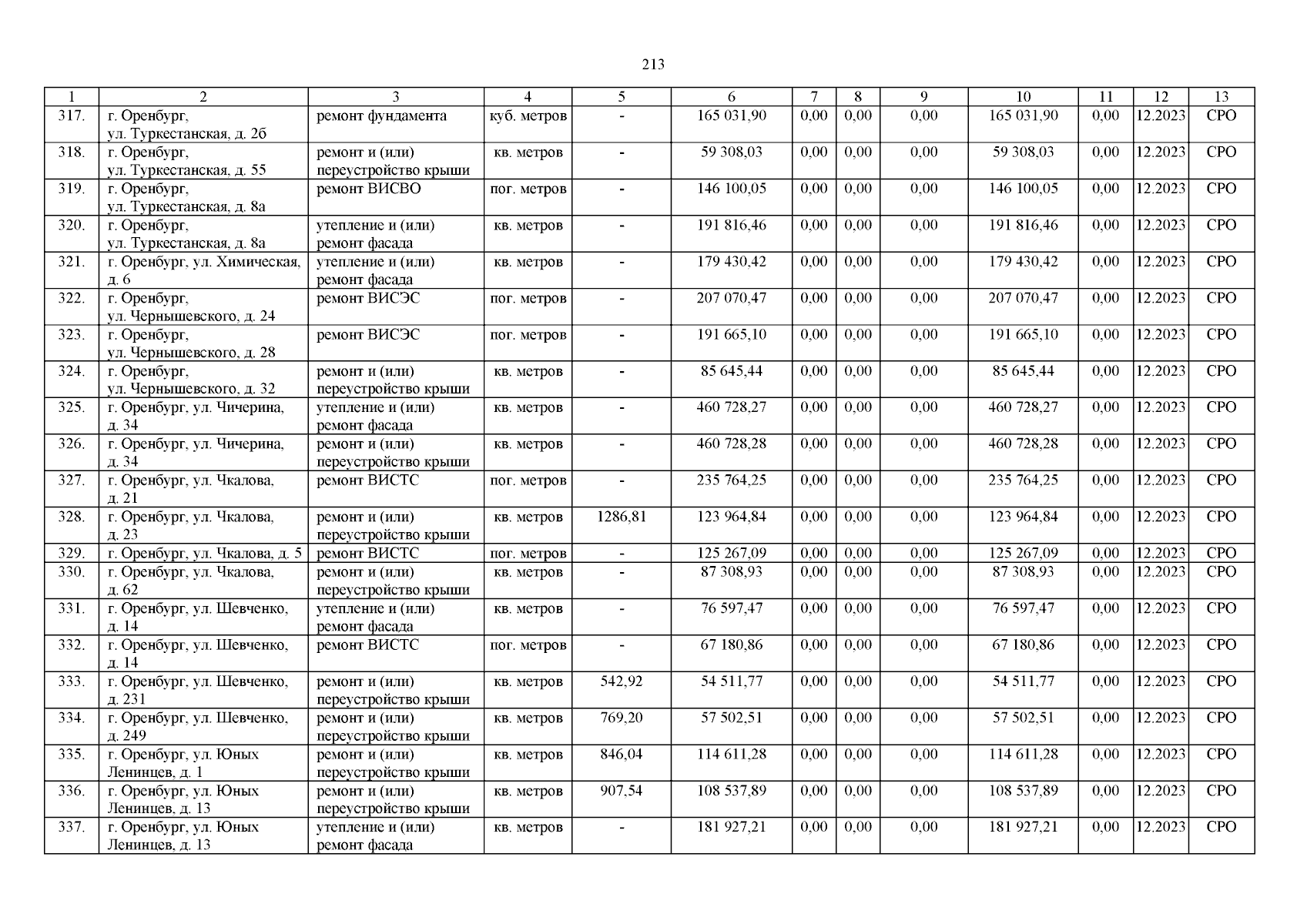
Постановление Правительства Оренбургской области от 05.04.2024 № 314-пп
"О внесении изменения в постановление Правительства Оренбургской области от 27 сентября 2022 года № 1014-пп"
Номер опубликования: 5600202404100013
Дата опубликования: 10.04.2024
Страница №213 из 263:
Увеличить