Официальное опубликование правовых актов
ОФИЦИАЛЬНОЕ ОПУБЛИКОВАНИЕ
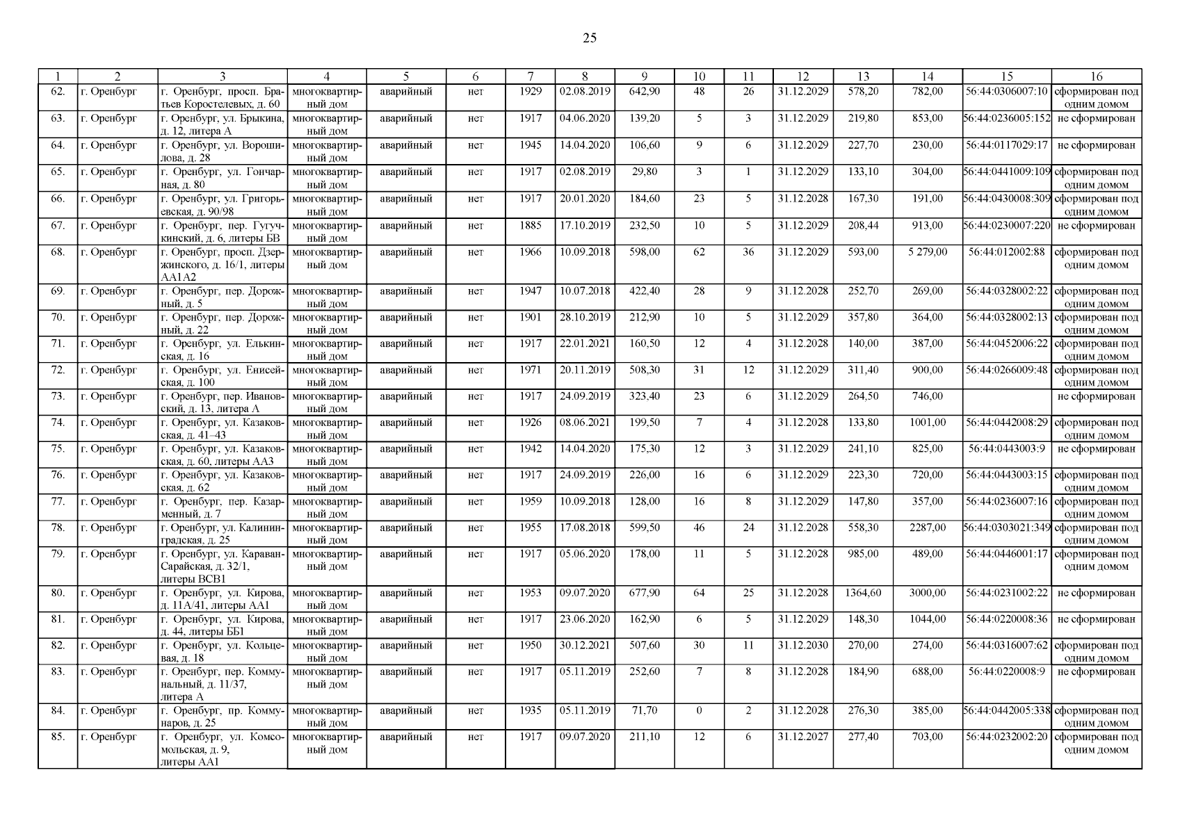
Постановление Правительства Оренбургской области от 21.11.2024 № 996-пп
"О внесении изменений в постановление Правительства Оренбургской области от 06.03.2024 № 174-пп"
Номер опубликования: 5600202411260016
Дата опубликования: 26.11.2024
Страница №25 из 72:
Увеличить