Официальное опубликование правовых актов
ОФИЦИАЛЬНОЕ ОПУБЛИКОВАНИЕ
Постановление Правительства Оренбургской области от 24.06.2025 № 578-пп
"О внесении изменения в постановление Правительства Оренбургской области от 30 декабря 2013 года № 1263-пп"
Номер опубликования: 5600202506270008
Дата опубликования: 27.06.2025
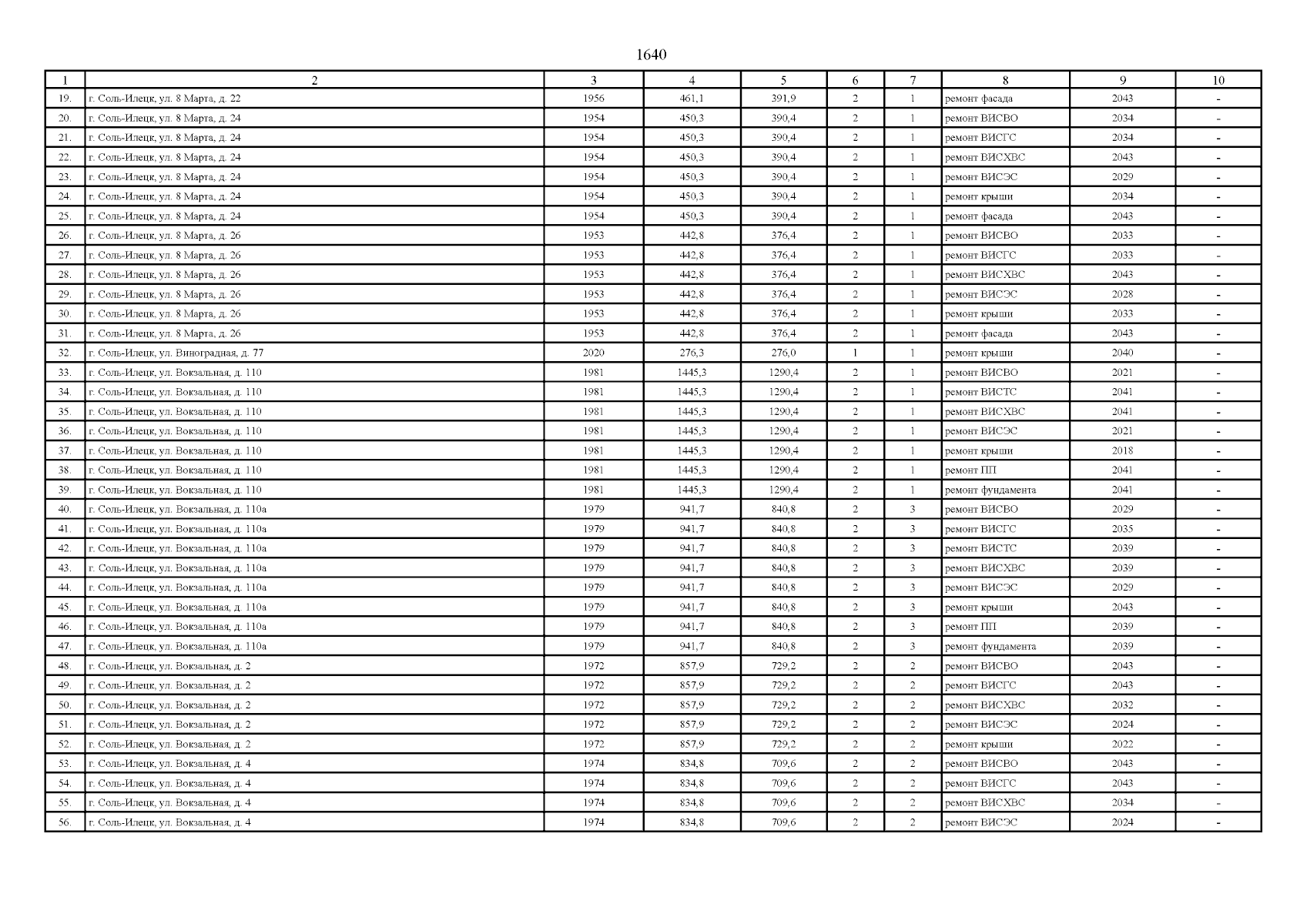
Страница №1640 из 1769:
Увеличить