Официальное опубликование правовых актов
ОФИЦИАЛЬНОЕ ОПУБЛИКОВАНИЕ
Постановление Правительства Оренбургской области от 02.12.2025 № 1376-пп
"О внесении изменений в постановление Правительства Оренбургской области от 1 декабря 2020 года № 1006-пп"
Номер опубликования: 5600202512050006
Дата опубликования: 05.12.2025
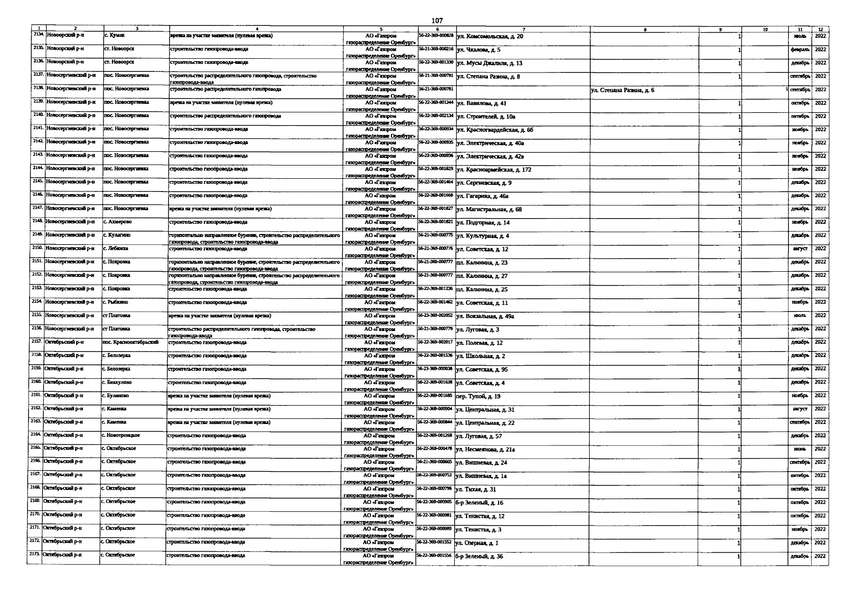
Страница №107 из 399:
Увеличить