Официальное опубликование правовых актов
ОФИЦИАЛЬНОЕ ОПУБЛИКОВАНИЕ
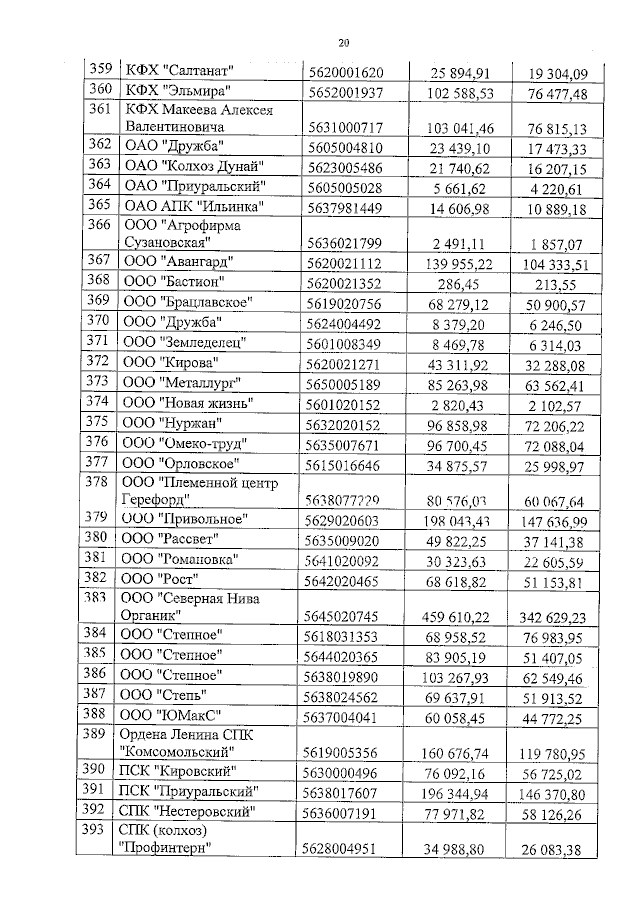
Приказ Министерства сельского хозяйства, торговли, пищевой и перерабатывающей промышленности Оренбургской области от 01.08.2023 № 681
"О перерасчете ставки субсидии"
(Зарегистрирован 01.08.2023 № 0050/2023/09)
Номер опубликования: 5601202308020011
Дата опубликования: 02.08.2023
Страница №21 из 22:
Увеличить