Официальное опубликование правовых актов
ОФИЦИАЛЬНОЕ ОПУБЛИКОВАНИЕ
Распоряжение Министерства архитектуры и пространственно-градостроительного развития Оренбургской области от 24.05.2024 № 8-р
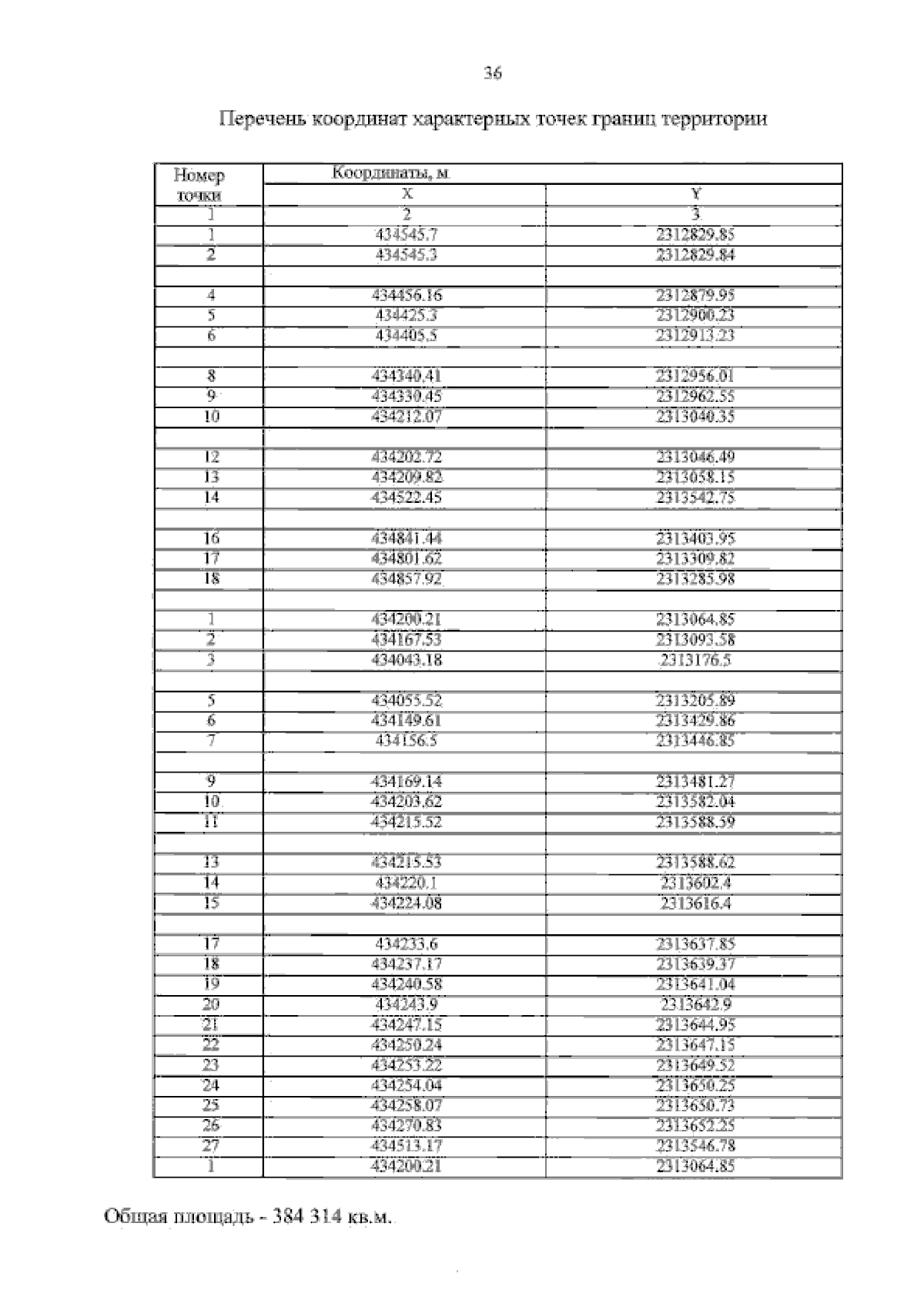
"О проведении конкурса на право заключения договора о комплексном развитии незастроенной территории площадью 38,4 га в границах земельного участка с кадастровым номером 56:44:0201001:648"
(Зарегистрирован 24.05.2024 № 0041/2024/02)
Номер опубликования: 5601202405280007
Дата опубликования: 28.05.2024
Страница №36 из 58:
Увеличить