Официальное опубликование правовых актов
ОФИЦИАЛЬНОЕ ОПУБЛИКОВАНИЕ
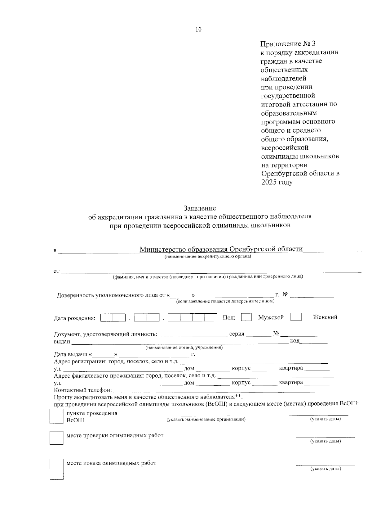
Приказ Министерства образования Оренбургской области от 31.10.2024 № 01-21/1752 "Об утверждении Порядка аккредитации граждан в качестве общественных наблюдателей при проведении государственной итоговой аттестации по образовательным программам основного общего и среднего общего образования, всероссийской олимпиады школьников на территории Оренбургской области в 2025 году"
(Зарегистрирован 31.10.2024 № 0037/2024/05)
Номер опубликования: 5601202411020007
Дата опубликования: 02.11.2024
Страница №10 из 17:
Увеличить