Официальное опубликование правовых актов
ОФИЦИАЛЬНОЕ ОПУБЛИКОВАНИЕ
Приказ Министерства архитектуры и пространственно-градостроительного развития Оренбургской области от 06.10.2025 № 36/127-од
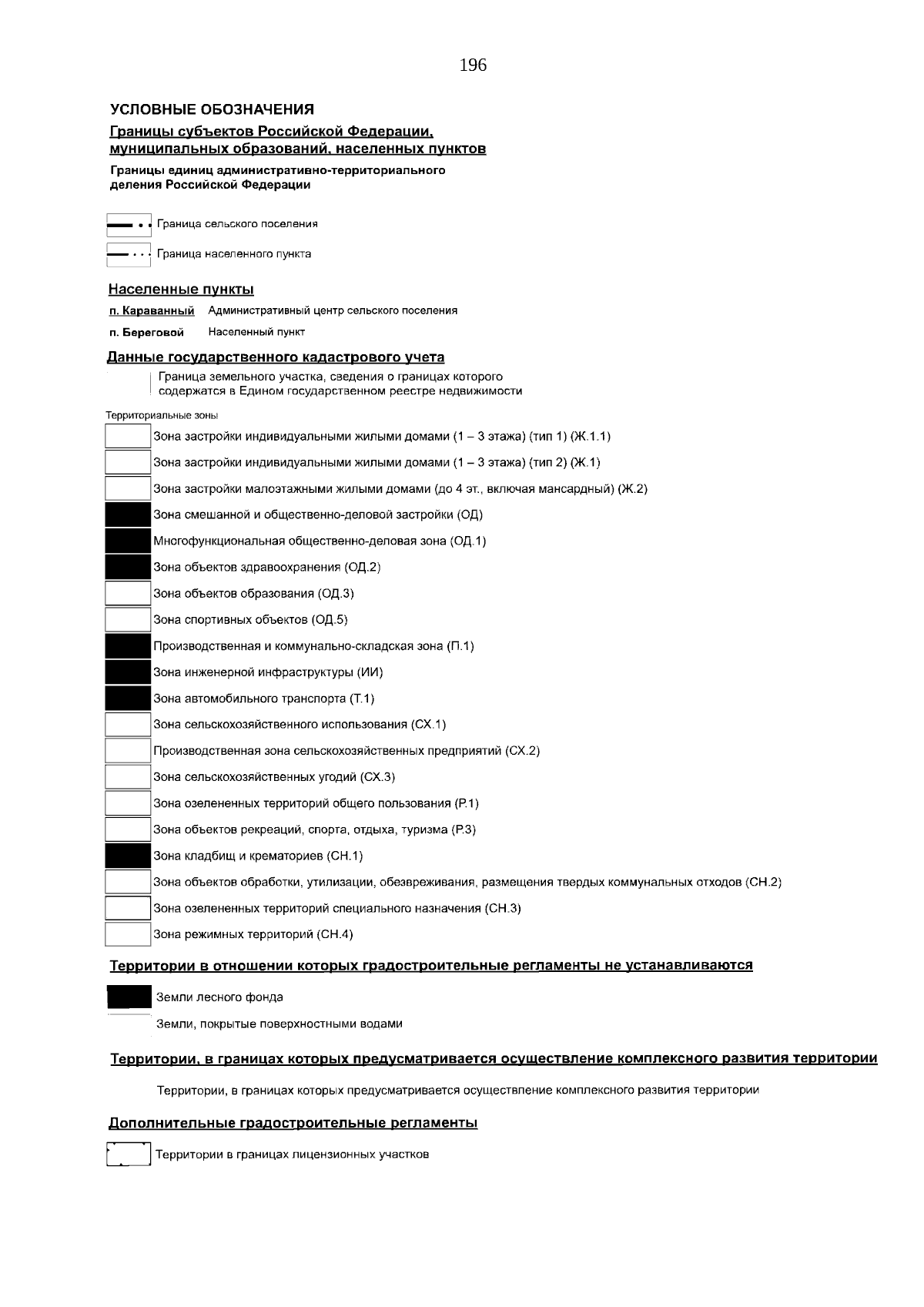
"Об утверждении правил землепользования и застройки муниципального образования сельское поселение Караванный сельсовет Оренбургского муниципального района Оренбургской области"
(Зарегистрирован 06.10.2025 № 0062/2025/02)
Номер опубликования: 5601202510070006
Дата опубликования: 07.10.2025
Страница №196 из 201:
Увеличить