Официальное опубликование правовых актов
ОФИЦИАЛЬНОЕ ОПУБЛИКОВАНИЕ
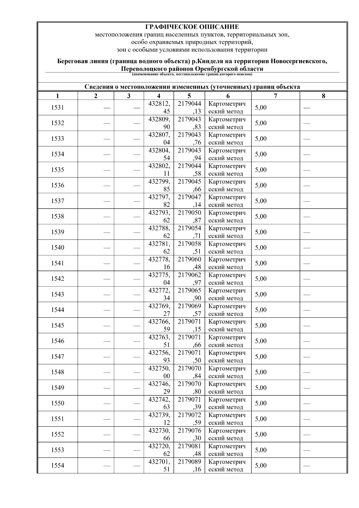
Приказ Министерства природных ресурсов, экологии и имущественных отношений Оренбургской области от 24.10.2025 № 440
"Об уточнении местоположения береговой линии (границы водного объекта) реки Кинделя на территории Новосергиевского, Переволоцкого районов Оренбургской области"
(Зарегистрирован 27.10.2025 № 0070/2025/06)
Номер опубликования: 5601202510290006
Дата опубликования: 29.10.2025
Страница №68 из 1608:
Увеличить