Официальное опубликование правовых актов
ОФИЦИАЛЬНОЕ ОПУБЛИКОВАНИЕ
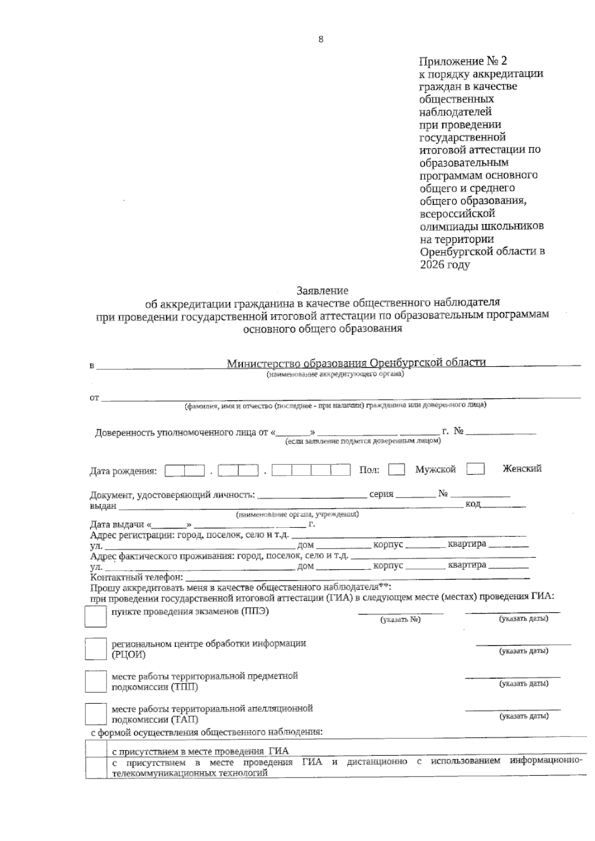
Приказ Министерства образования Оренбургской области от 13.01.2026 № 01-21/7
"Об утверждении Порядка аккредитации граждан в качестве общественных наблюдателей при проведении государственной итоговой аттестации по образовательным программам основного общего и среднего общего образования, всероссийской олимпиады школьников на территории Оренбургской области в 2026 году"
(Зарегистрирован 13.01.2026 № 0002/2026/05)
Номер опубликования: 5601202601150005
Дата опубликования: 15.01.2026
Страница №8 из 17:
Увеличить