Официальное опубликование правовых актов
ОФИЦИАЛЬНОЕ ОПУБЛИКОВАНИЕ
Приказ Министерства региональной политики Оренбургской области от 28.01.2026 № 19-од
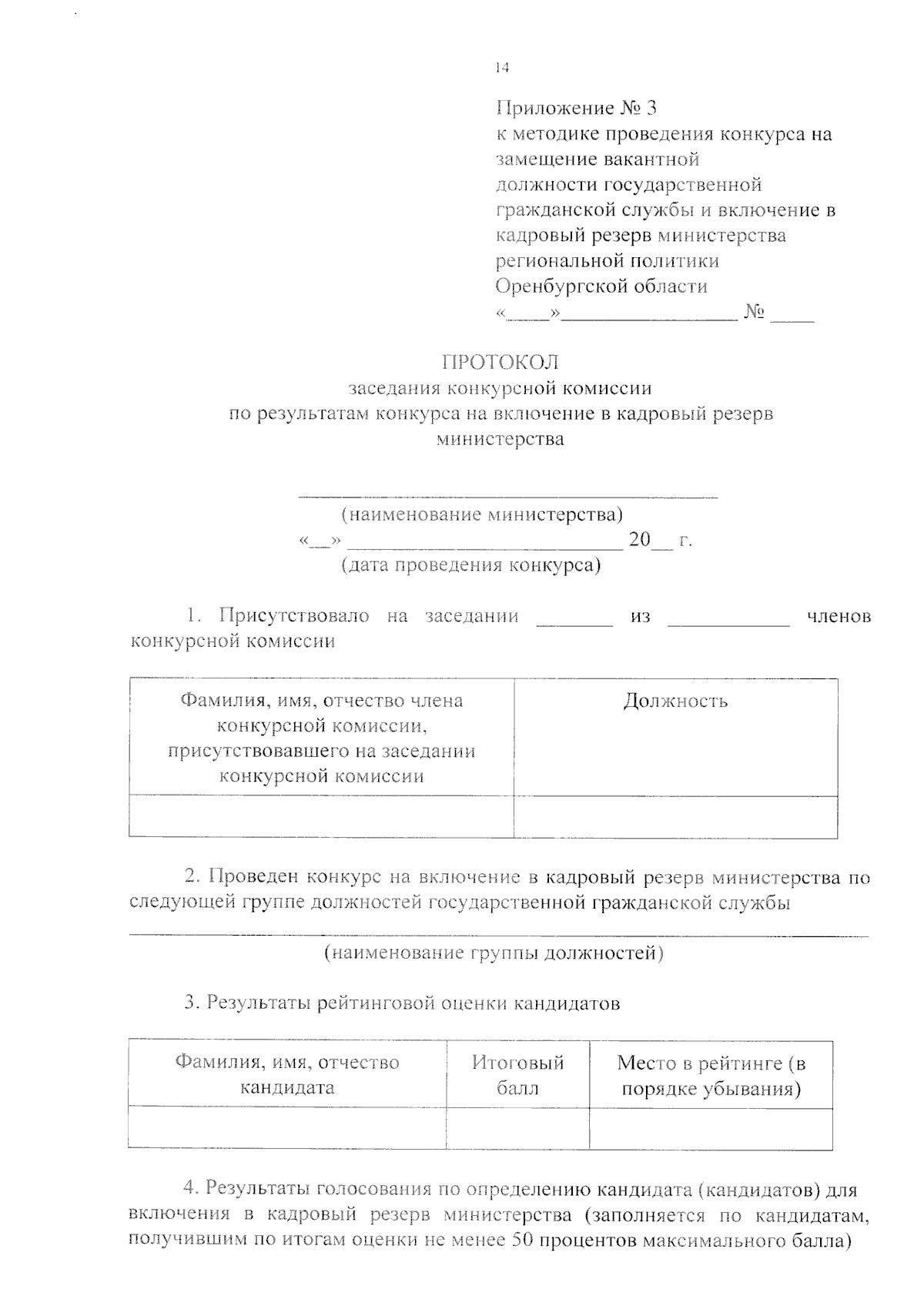
"Об утверждении положения о комиссии по проведению конкурса на замещение вакантной должности государственной гражданской службы в министерстве региональной политики Оренбургской области и включение в кадровый резерв министерства региональной политики Оренбургской области и методики проведения указанного конкурса"
(Зарегистрирован 28.01.2026 № 0004/2026/08)
Номер опубликования: 5601202601290001
Дата опубликования: 29.01.2026
Страница №14 из 16:
Увеличить