Распоряжение Министерства архитектуры и пространственно-градостроительного развития Оренбургской области от 10.03.2026 № 8-р
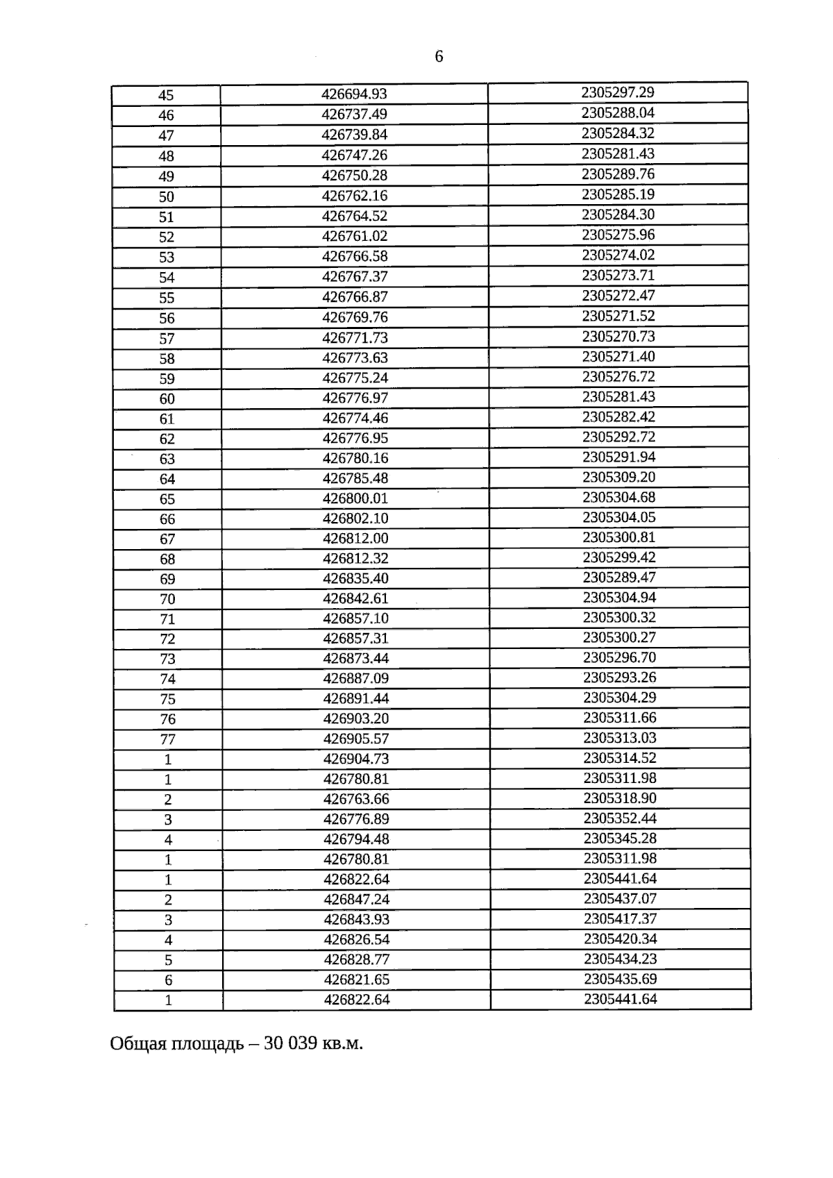
"О принятии решения о комплексном развитии территории нежилой застройки площадью 3,0 га в границах земельного участка с кадастровым номером 56:44:0237002:105 по улице Набережной города Оренбурга Оренбургской области"
(Зарегистрирован 10.03.2026 № 0027/2026/02)
"О принятии решения о комплексном развитии территории нежилой застройки площадью 3,0 га в границах земельного участка с кадастровым номером 56:44:0237002:105 по улице Набережной города Оренбурга Оренбургской области"
(Зарегистрирован 10.03.2026 № 0027/2026/02)
Номер опубликования: 5601202603160003
Дата опубликования:
16.03.2026
