Официальное опубликование правовых актов
ОФИЦИАЛЬНОЕ ОПУБЛИКОВАНИЕ
Приказ Министерства природных ресурсов, экологии и имущественных отношений Оренбургской области от 30.03.2026 № 122
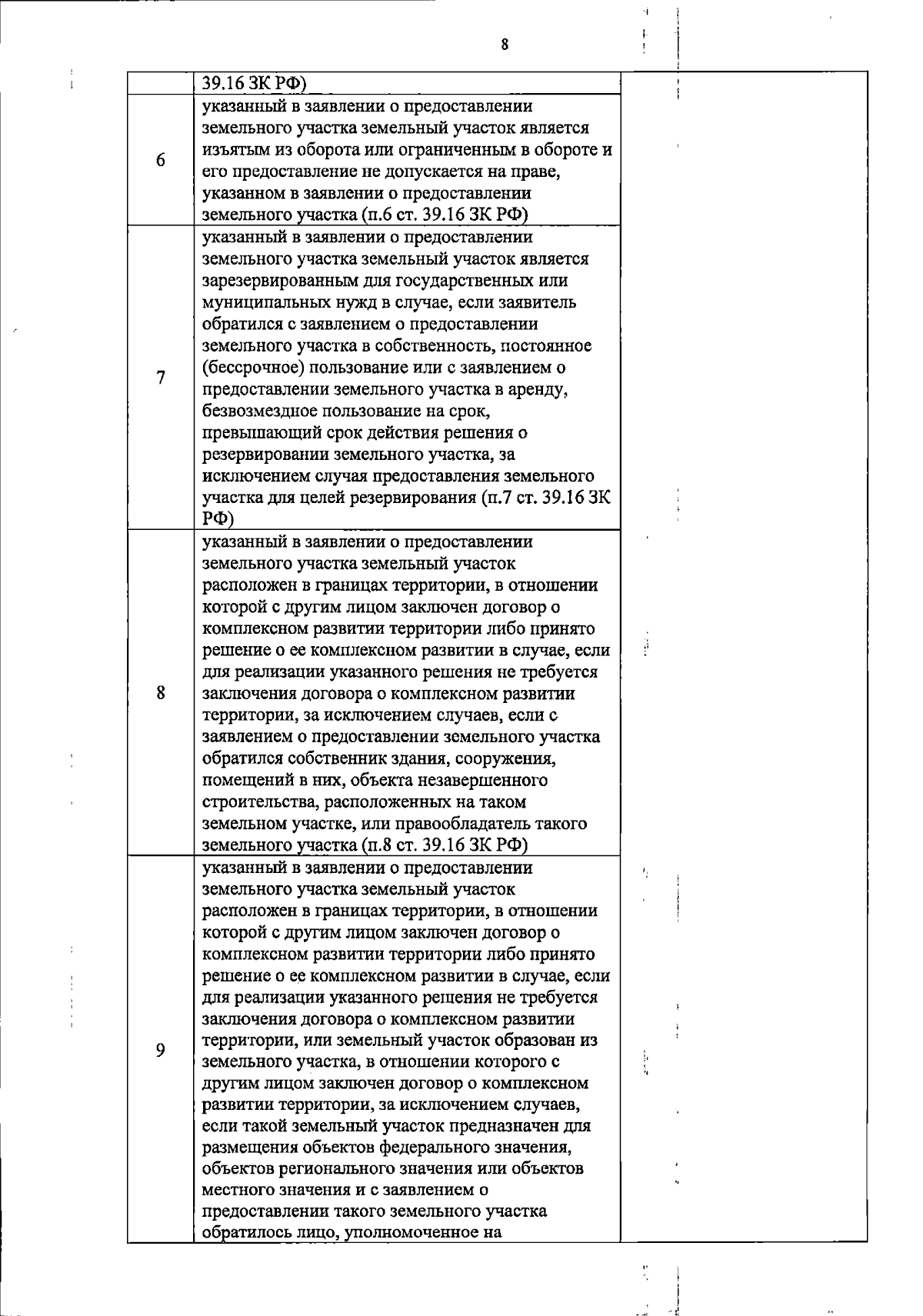
"О внесении изменений в приказ министерства природных ресурсов, экологии и имущественных отношений Оренбургской области от 30 октября 2025 года № 461 "Об утверждении административного регламента предоставления государственной услуги "Предоставление земельных участков, находящихся в государственной собственности Оренбургской области, без проведения торгов"
(Зарегистрирован 30.03.2026 № 0030/2026/06)
Номер опубликования: 5601202603310008
Дата опубликования: 31.03.2026
Страница №8 из 12:
Увеличить