Официальное опубликование правовых актов
ОФИЦИАЛЬНОЕ ОПУБЛИКОВАНИЕ
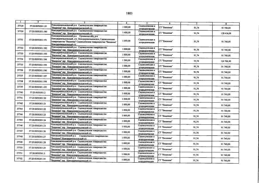
Постановление Правительства Орловской области от 26.12.2014 № 435
"Об утверждении результатов государственной кадастровой оценки земель садоводческих, огороднических и дачных объединений в составе земель сельскохозяйственного назначения Орловской области"
Номер опубликования: 5700201501040002
Дата опубликования: 04.01.2015
Страница №1805 из 1836:
Увеличить