Официальное опубликование правовых актов
ОФИЦИАЛЬНОЕ ОПУБЛИКОВАНИЕ
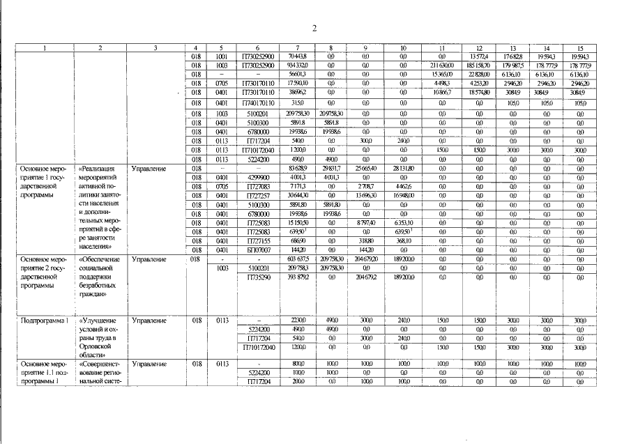
Постановление Правительства Орловской области от 03.11.2017 № 467
"О внесении изменений в постановление Правительства Орловской области от 8 октября 2012 года № 352 "Об утверждении государственной программы Орловской области "Содействие занятости населения Орловской области"
Номер опубликования: 5700201711080003
Дата опубликования: 08.11.2017
Страница №51 из 65:
Увеличить