Официальное опубликование правовых актов
ОФИЦИАЛЬНОЕ ОПУБЛИКОВАНИЕ
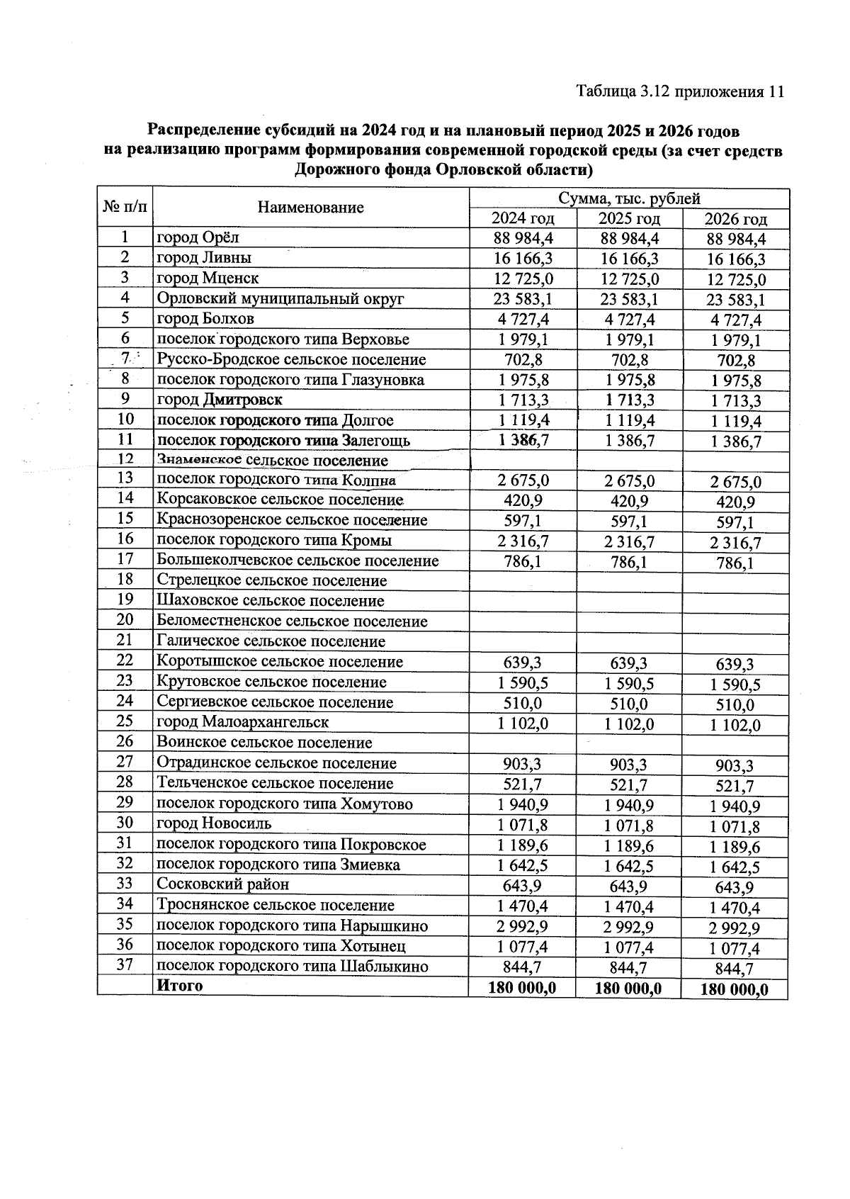
Закон Орловской области от 06.12.2023 № 2997-ОЗ
"Об областном бюджете на 2024 год и на плановый период 2025 и 2026 годов"
Номер опубликования: 5700202312070018
Дата опубликования: 07.12.2023
Страница №308 из 349:
Увеличить