Официальное опубликование правовых актов
ОФИЦИАЛЬНОЕ ОПУБЛИКОВАНИЕ
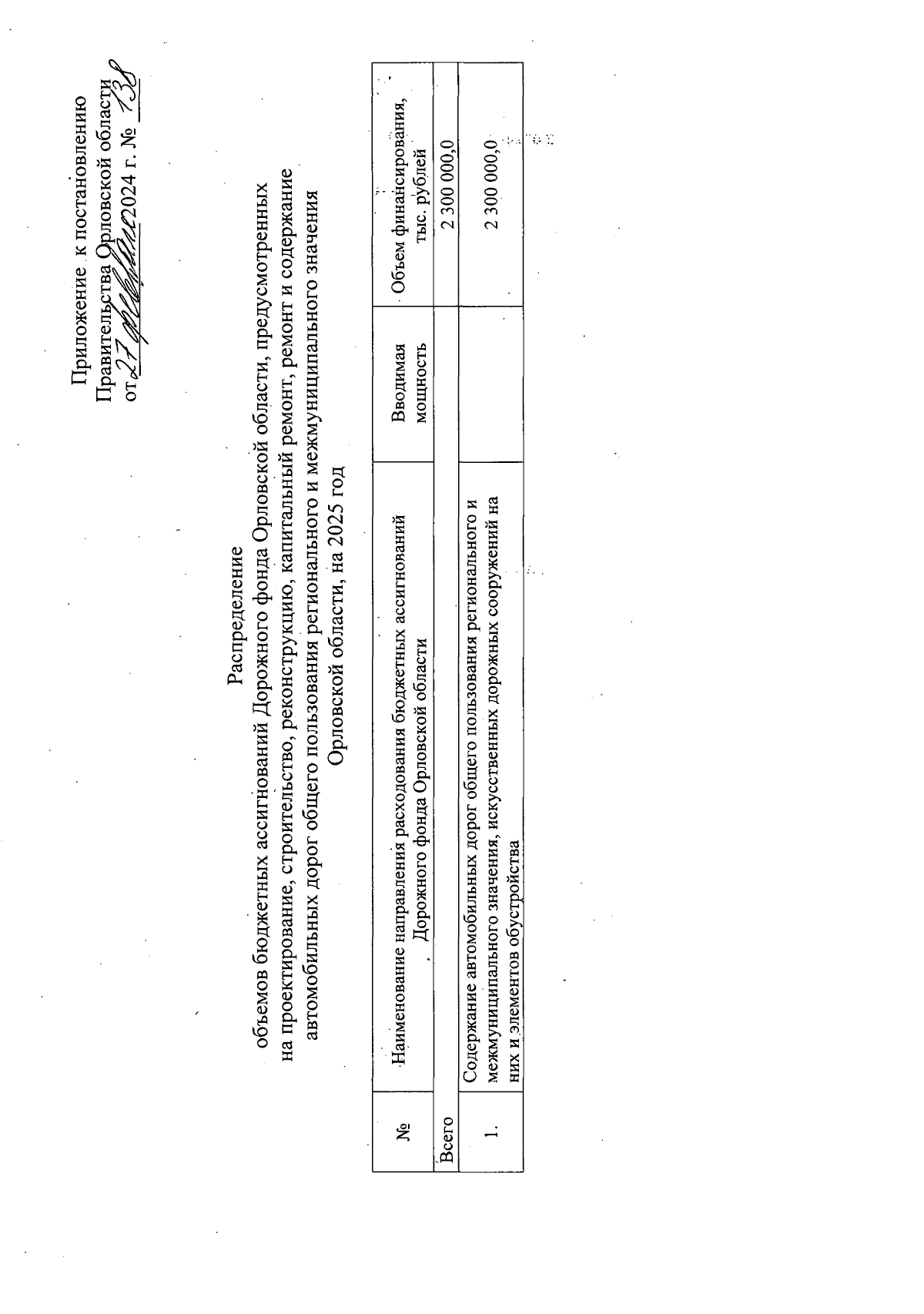
Постановление Правительства Орловской области от 27.02.2024 № 138
"Об утверждении распределения объемов бюджетных ассигнований Дорожного фонда Орловской области, предусмотренных на проектирование, строительство, реконструкцию, капитальный ремонт, ремонт и содержание автомобильных дорог общего пользования регионального и межмуниципального значения Орловской области, на 2025 год"
Номер опубликования: 5700202402290003
Дата опубликования: 29.02.2024
Страница №2 из 2:
Увеличить