Официальное опубликование правовых актов
ОФИЦИАЛЬНОЕ ОПУБЛИКОВАНИЕ
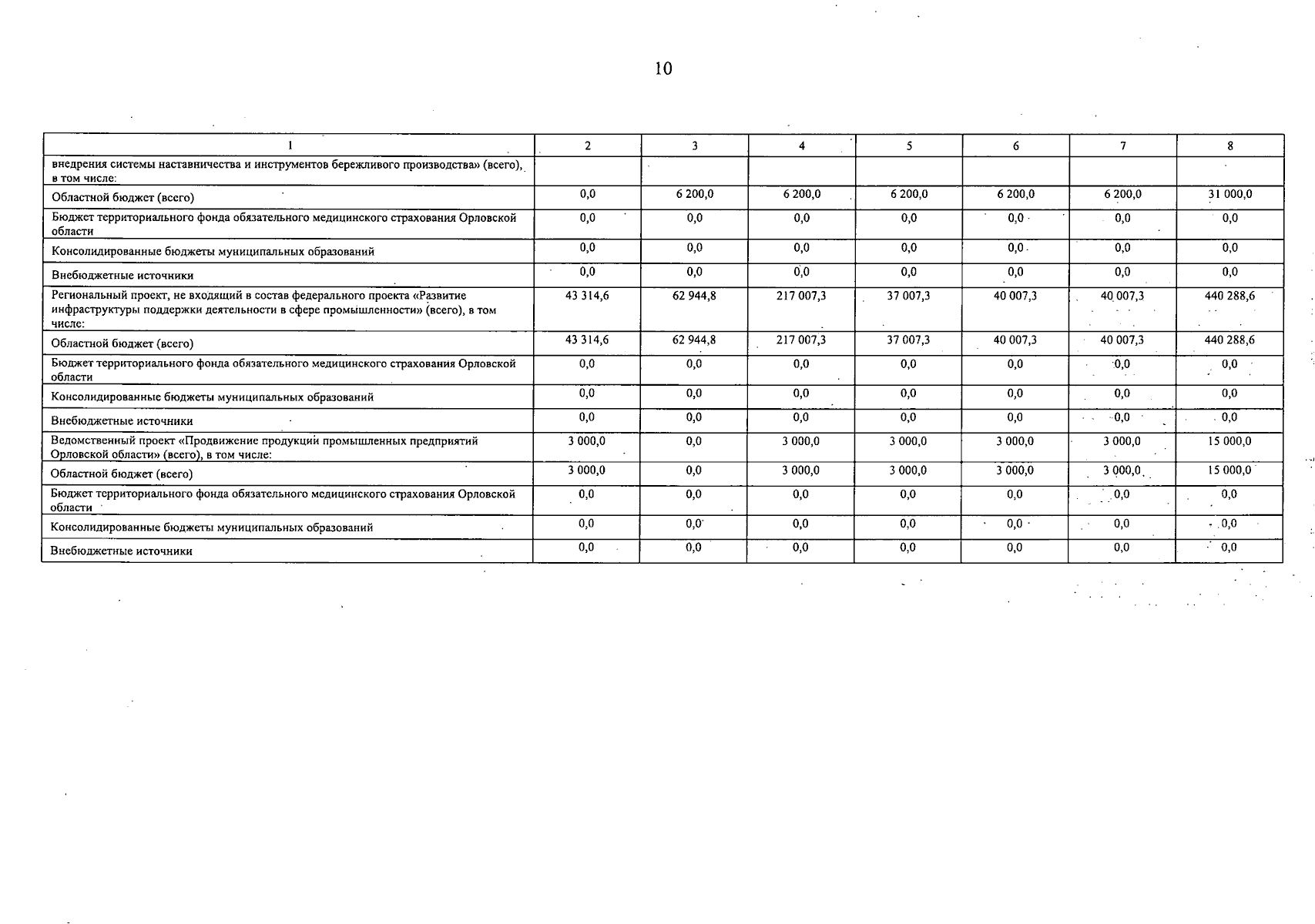
Постановление Правительства Орловской области от 15.07.2025 № 494
"О внесении изменений в постановление Правительства Орловской области от 28 декабря 2020 года № 820 "Об утверждении государственной программы Орловской области "Развитие промышленности Орловской области"
Номер опубликования: 5700202507160012
Дата опубликования: 16.07.2025
Страница №11 из 33:
Увеличить