Официальное опубликование правовых актов
ОФИЦИАЛЬНОЕ ОПУБЛИКОВАНИЕ
Постановление Правительства Орловской области от 09.10.2025 № 658
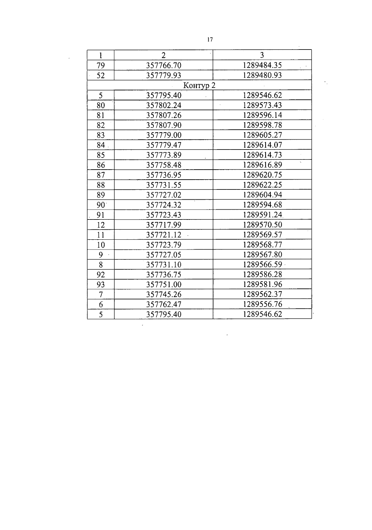
"Об установлении объединенной зоны охраны объектов культурного наследия регионального историко-культурного значения: "Дом жилой", XIX в., расположенный по адресу: Орловская область, г. Орёл, ул. Гагарина, д. 13, "Дом жилой", XIX в., расположенный по адресу: Орловская область, г. Орёл, ул. Гагарина, д. 16, "Дом жилой", XIX в., расположенный по адресу: Орловская область, г. Орёл, ул. Гагарина, д. 18, "Дом жилой", XIX в., расположенный по адресу: Орловская область, г. Орёл, ул. Гагарина, д. 28, "Дом жилой", XIX в., расположенный по адресу: Орловская область, г. Орёл, ул. Гагарина, д. 33"
Номер опубликования: 5700202510100002
Дата опубликования: 10.10.2025
Страница №20 из 24:
Увеличить