Официальное опубликование правовых актов
ОФИЦИАЛЬНОЕ ОПУБЛИКОВАНИЕ
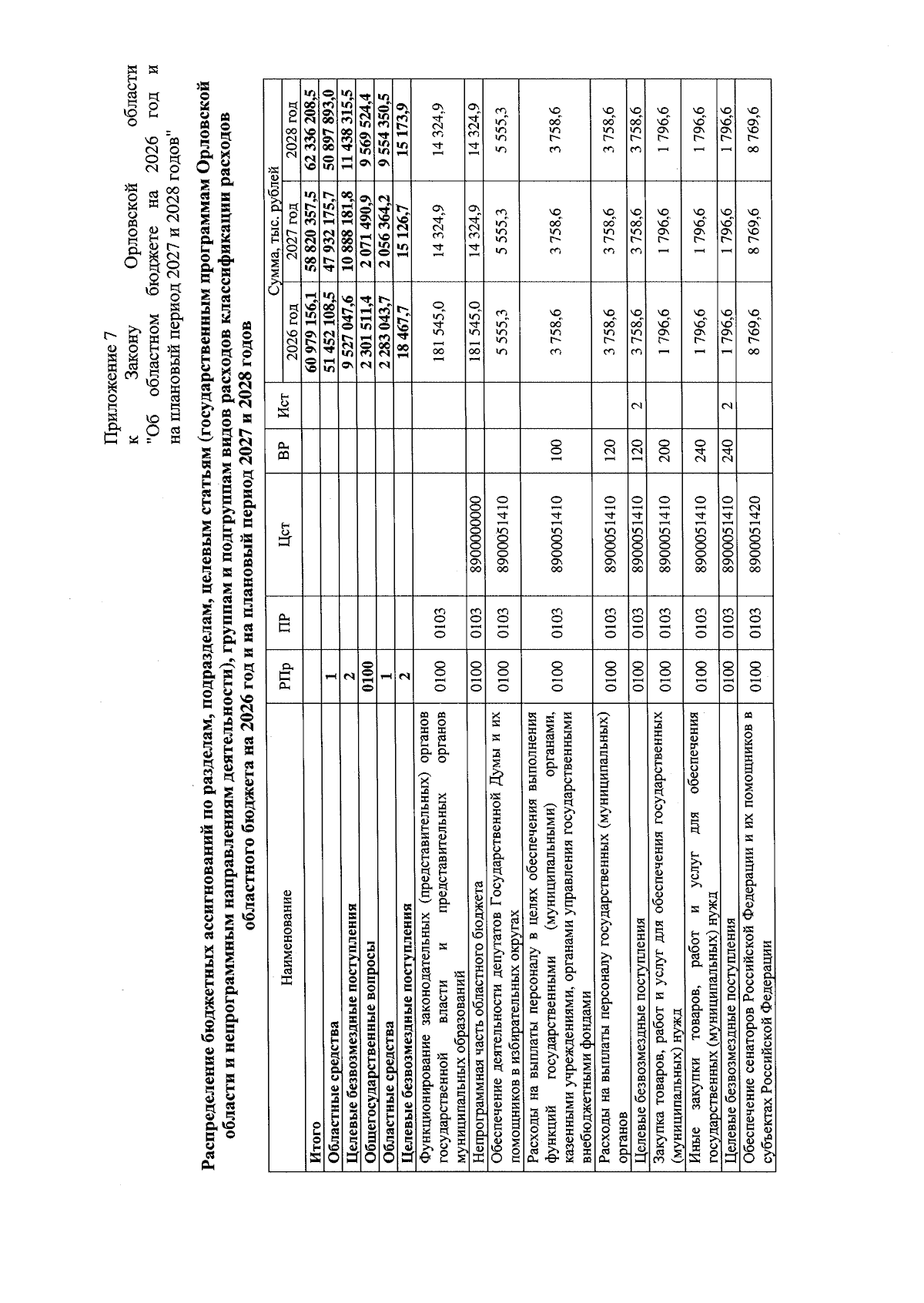
Закон Орловской области от 02.12.2025 № 3272-ОЗ
"Об областном бюджете на 2026 год и на плановый период 2027 и 2028 годов"
Номер опубликования: 5700202512030001
Дата опубликования: 03.12.2025
Страница №39 из 531:
Увеличить