Официальное опубликование правовых актов
ОФИЦИАЛЬНОЕ ОПУБЛИКОВАНИЕ
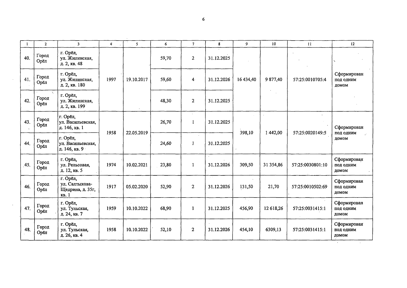
Постановление Правительства Орловской области от 09.12.2025 № 807
"О внесении изменений в постановление Правительства Орловской области от 12 сентября 2025 года № 602 "Об утверждении областной адресной программы "Переселение граждан, проживающих на территории Орловской области, из аварийного жилищного фонда" на 2025–2026 годы"
Номер опубликования: 5700202512100004
Дата опубликования: 10.12.2025
Страница №10 из 18:
Увеличить