Официальное опубликование правовых актов
ОФИЦИАЛЬНОЕ ОПУБЛИКОВАНИЕ
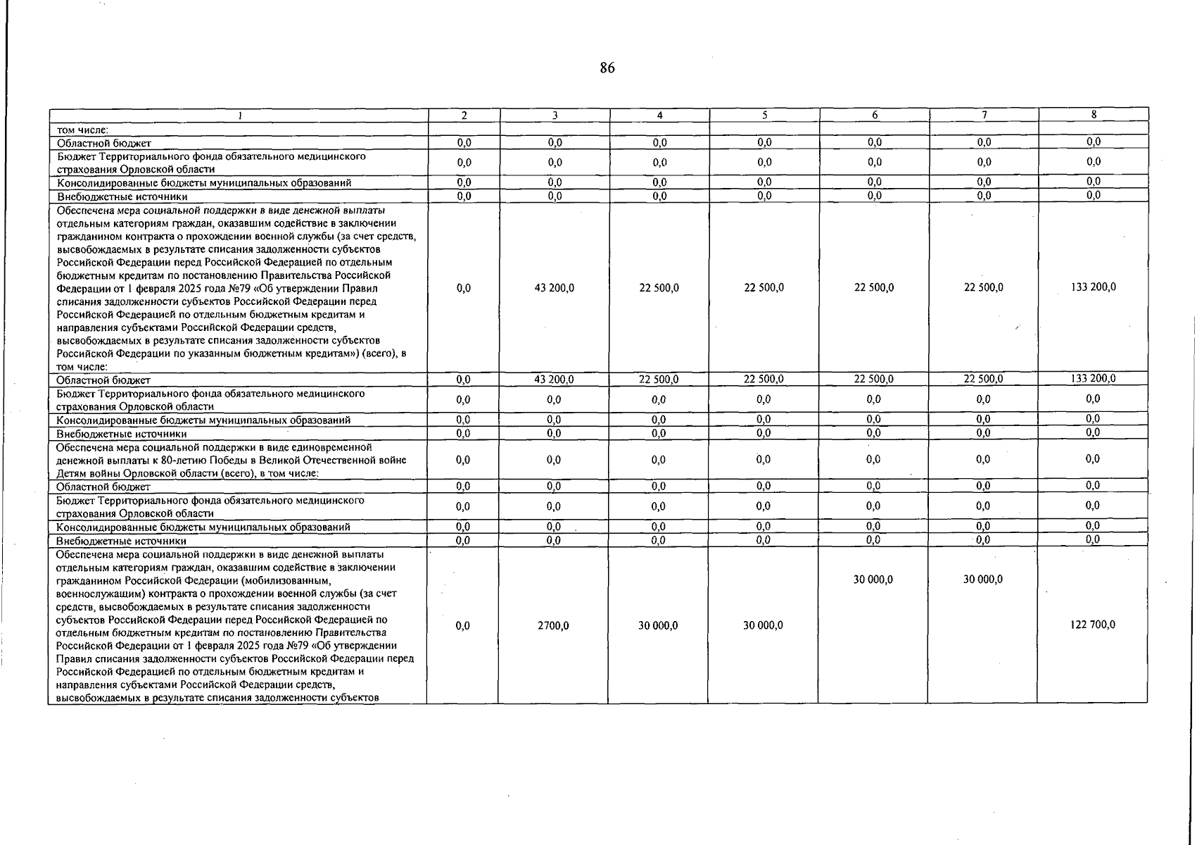
Постановление Правительства Орловской области от 22.12.2025 № 843
"О внесении изменений в постановление Правительства Орловской области от 2 октября 2019 года № 556 "Об утверждении государственной программы Орловской области "Социальная поддержка граждан в Орловской области"
Номер опубликования: 5700202512250001
Дата опубликования: 25.12.2025
Страница №155 из 197:
Увеличить