Официальное опубликование правовых актов
ОФИЦИАЛЬНОЕ ОПУБЛИКОВАНИЕ
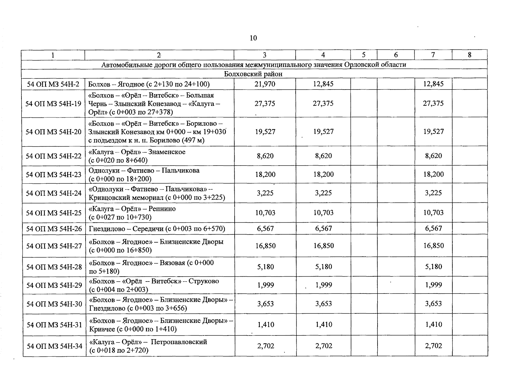
Постановление Правительства Орловской области от 13.03.2026 № 143
"О внесении изменения в постановление Правительства Орловской области от 19 ноября 2015 года № 501 "Об утверждении Перечня автомобильных дорог общего пользования регионального и межмуниципального значения Орловской области"
Номер опубликования: 5700202603160003
Дата опубликования: 16.03.2026
Страница №11 из 38:
Увеличить