Официальное опубликование правовых актов
ОФИЦИАЛЬНОЕ ОПУБЛИКОВАНИЕ
Приказ Управления по государственной охране объектов культурного наследия Орловской области от 16.03.2026 № 55
"О внесении изменении в приказ Управления по государственной охране объектов культурного наследия Орловской области от 24 августа 2022 года № 130 "О включении объектов археологического наследия обладающих историко-культурной ценностью в перечень выявленных объектов культурного наследия Орловской области"
(Зарегистрирован 17.03.2026 № 184/2026)
Номер опубликования: 5701202603180006
Дата опубликования: 18.03.2026
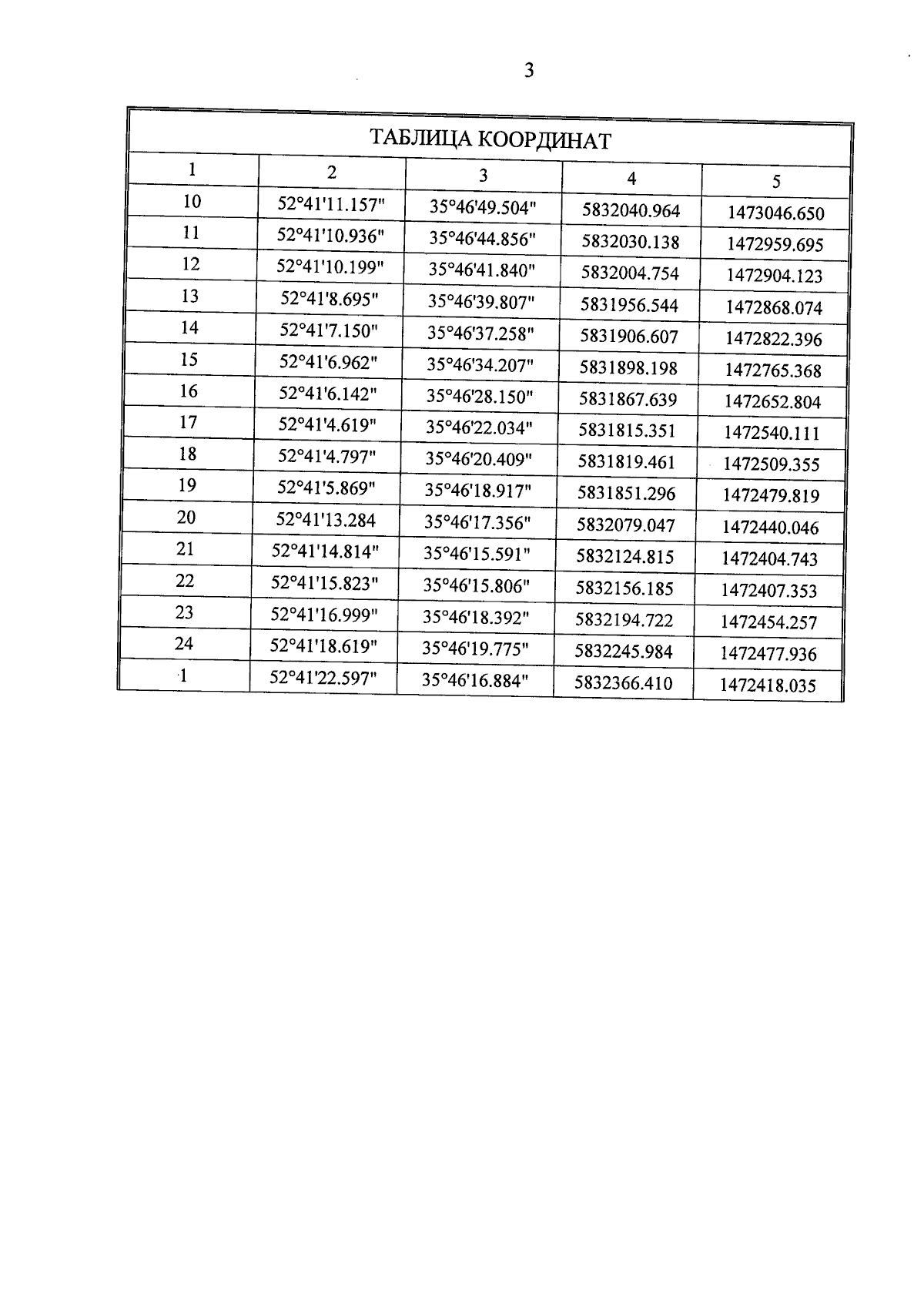
Страница №3 из 14:
Увеличить