Официальное опубликование правовых актов
ОФИЦИАЛЬНОЕ ОПУБЛИКОВАНИЕ
Приказ Управления по государственной охране объектов культурного наследия Орловской области от 01.04.2026 № 76
"О внесении изменений в приказ Управления по государственной охране объектов культурного наследия Орловской области от 13 июня 2024 года № 67 "О включении объектов, обладающих признаками объекта культурного наследия, в перечень выявленных объектов культурного наследия"
(Зарегистрирован 03.04.2026 № 223/2026)
Номер опубликования: 5701202604030003
Дата опубликования: 03.04.2026
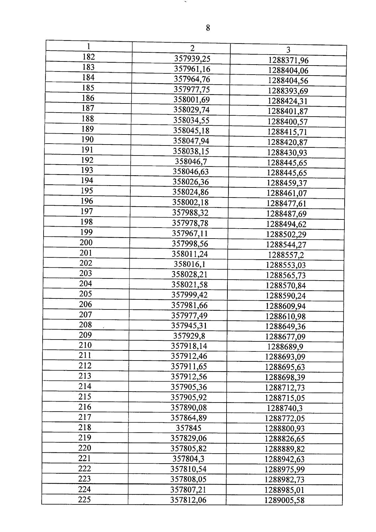
Страница №8 из 10:
Увеличить